Официальное опубликование правовых актов
ОФИЦИАЛЬНОЕ ОПУБЛИКОВАНИЕ
Постановление Главного управления архитектуры и градостроительства Рязанской области от 29.02.2024 № 74-п
"Об утверждении изменений в правила землепользования и застройки муниципального образования – Дядьковское сельское поселение Рязанского муниципального района Рязанской области"
(Зарегистрирован 29.02.2024 № 164)
Номер опубликования: 6201202403050009
Дата опубликования: 05.03.2024
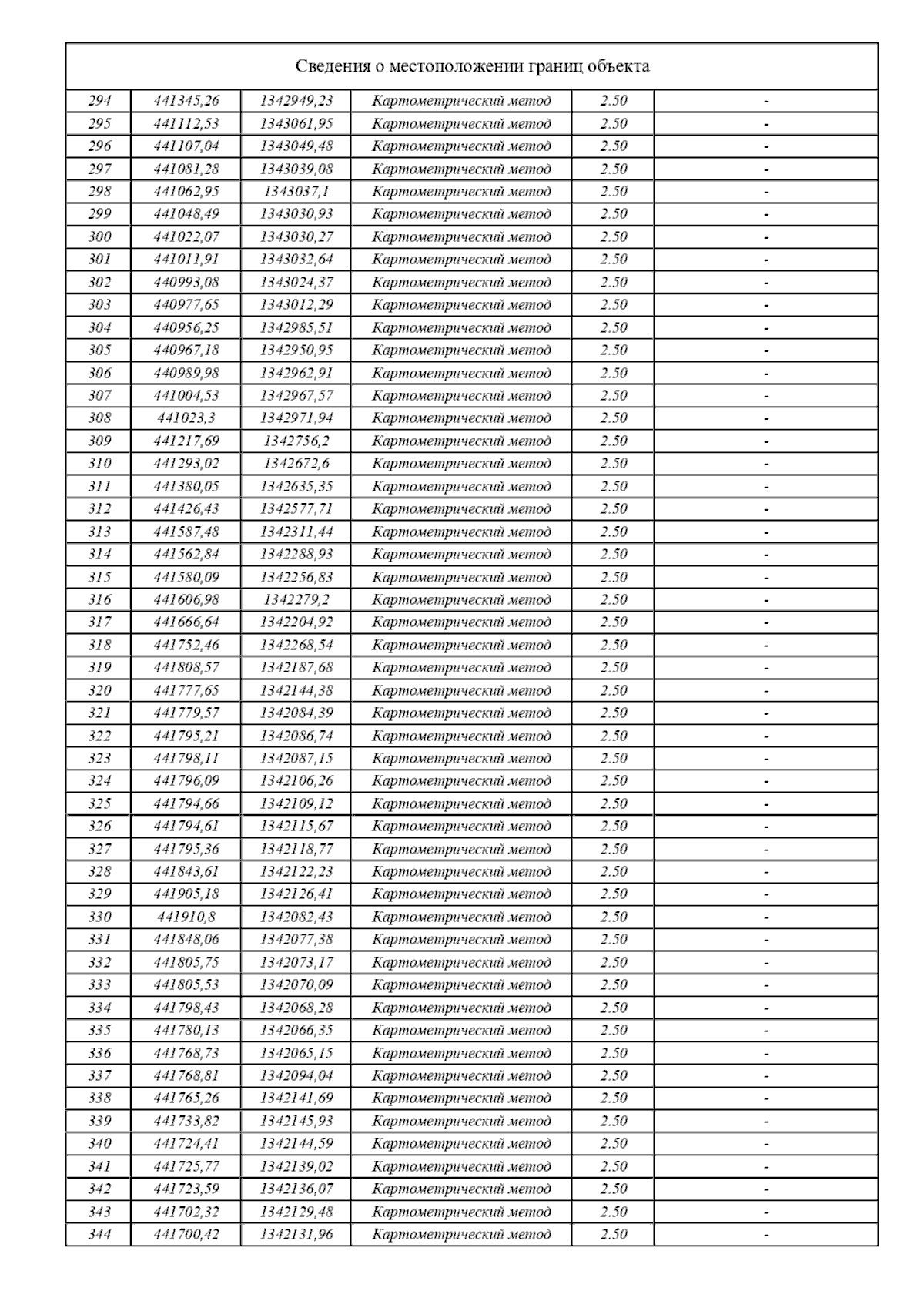
Страница №13 из 51:
Увеличить