Официальное опубликование правовых актов
ОФИЦИАЛЬНОЕ ОПУБЛИКОВАНИЕ
Постановление Главного управления архитектуры и градостроительства Рязанской области от 29.02.2024 № 73-п
"Об утверждении изменений в генеральный план муниципального образования – Дядьковское сельское поселение Рязанского муниципального района Рязанской области"
(Зарегистрирован 29.02.2024 № 163)
Номер опубликования: 6201202403050010
Дата опубликования: 05.03.2024
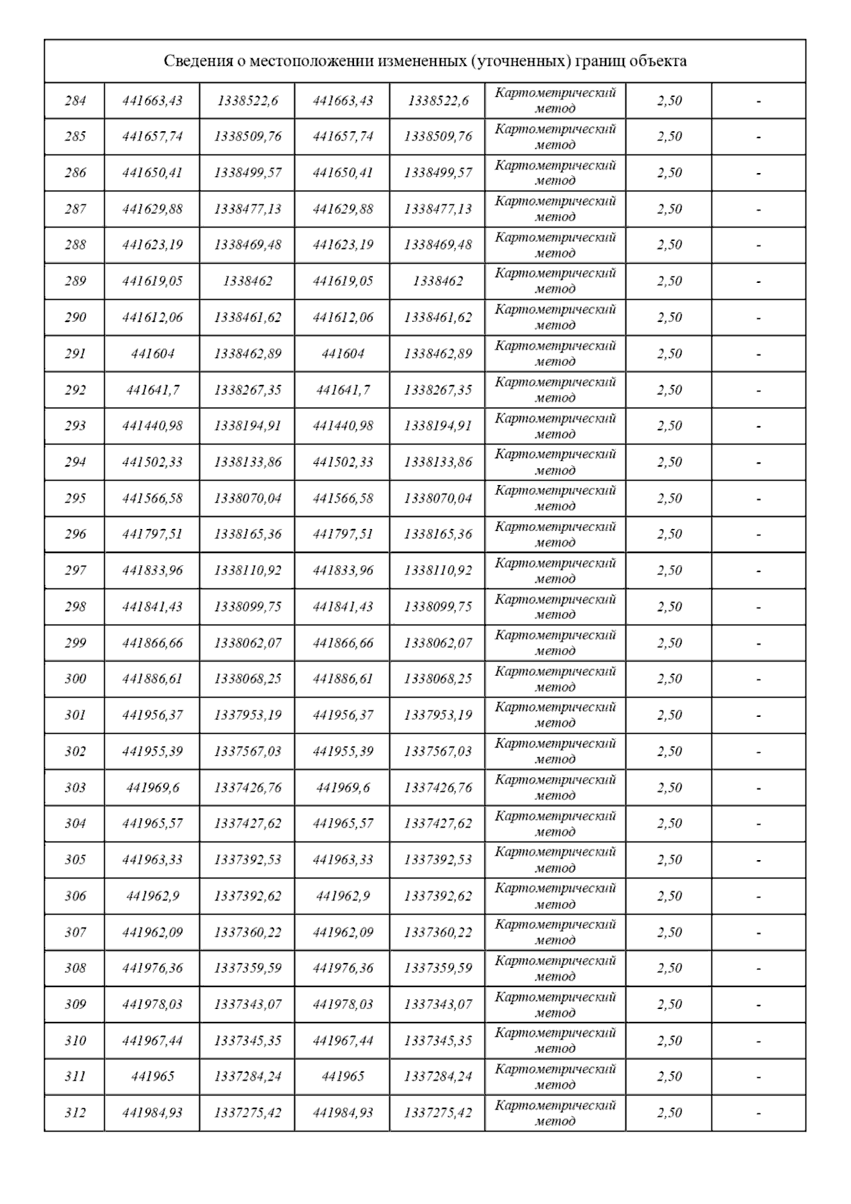
Страница №18 из 20:
Увеличить