Официальное опубликование правовых актов
ОФИЦИАЛЬНОЕ ОПУБЛИКОВАНИЕ
Постановление Главного управления архитектуры и градостроительства Рязанской области от 13.03.2024 № 92-п
"Об утверждении изменений в правила землепользования и застройки муниципального образования – Мурминское сельское поселение Рязанского муниципального района Рязанской области"
(Зарегистрирован 13.03.2024 № 207)
Номер опубликования: 6201202403180003
Дата опубликования: 18.03.2024
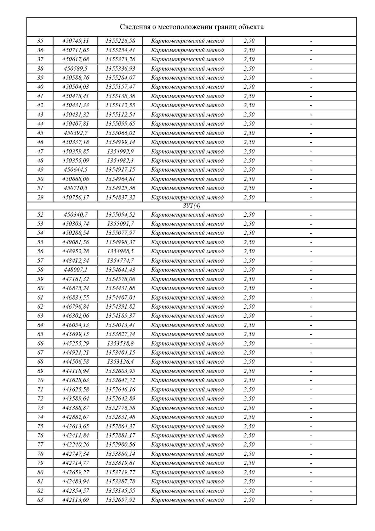
Страница №31 из 122:
Увеличить