Официальное опубликование правовых актов
ОФИЦИАЛЬНОЕ ОПУБЛИКОВАНИЕ
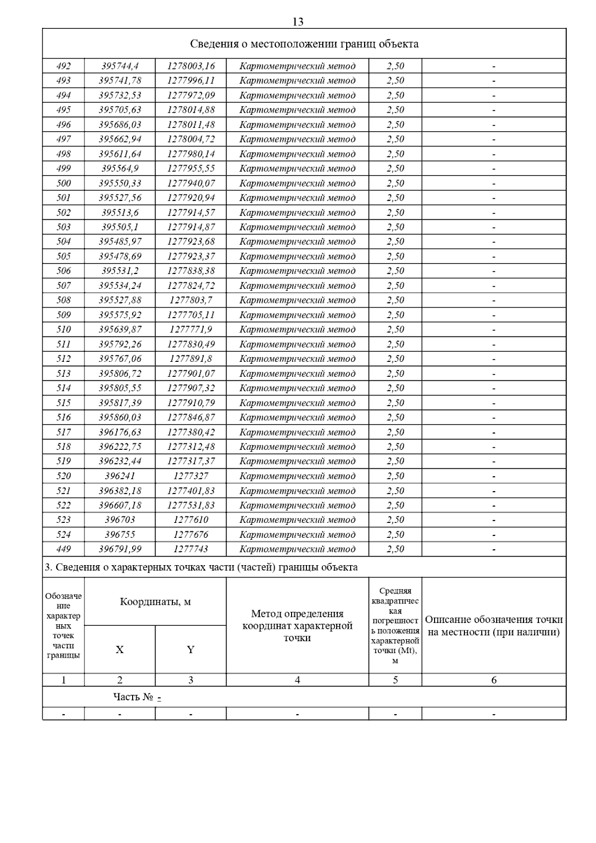
Постановление Главного управления архитектуры и градостроительства Рязанской области от 22.03.2024 № 103-п
"Об утверждении изменений в генеральный план муниципального образования – Октябрьское городское поселение Михайловского муниципального района Рязанской области"
(Зарегистрирован 25.03.2024 № 236)
Номер опубликования: 6201202403280003
Дата опубликования: 28.03.2024
Страница №27 из 31:
Увеличить