Официальное опубликование правовых актов
ОФИЦИАЛЬНОЕ ОПУБЛИКОВАНИЕ
Постановление Главного управления архитектуры и градостроительства Рязанской области от 22.03.2024 № 98-п
"Об утверждении изменений в правила землепользования и застройки муниципального образования – Турлатовское сельское поселение Рязанского муниципального района Рязанской области"
(Зарегистрирован 25.03.2024 № 231)
Номер опубликования: 6201202403280008
Дата опубликования: 28.03.2024
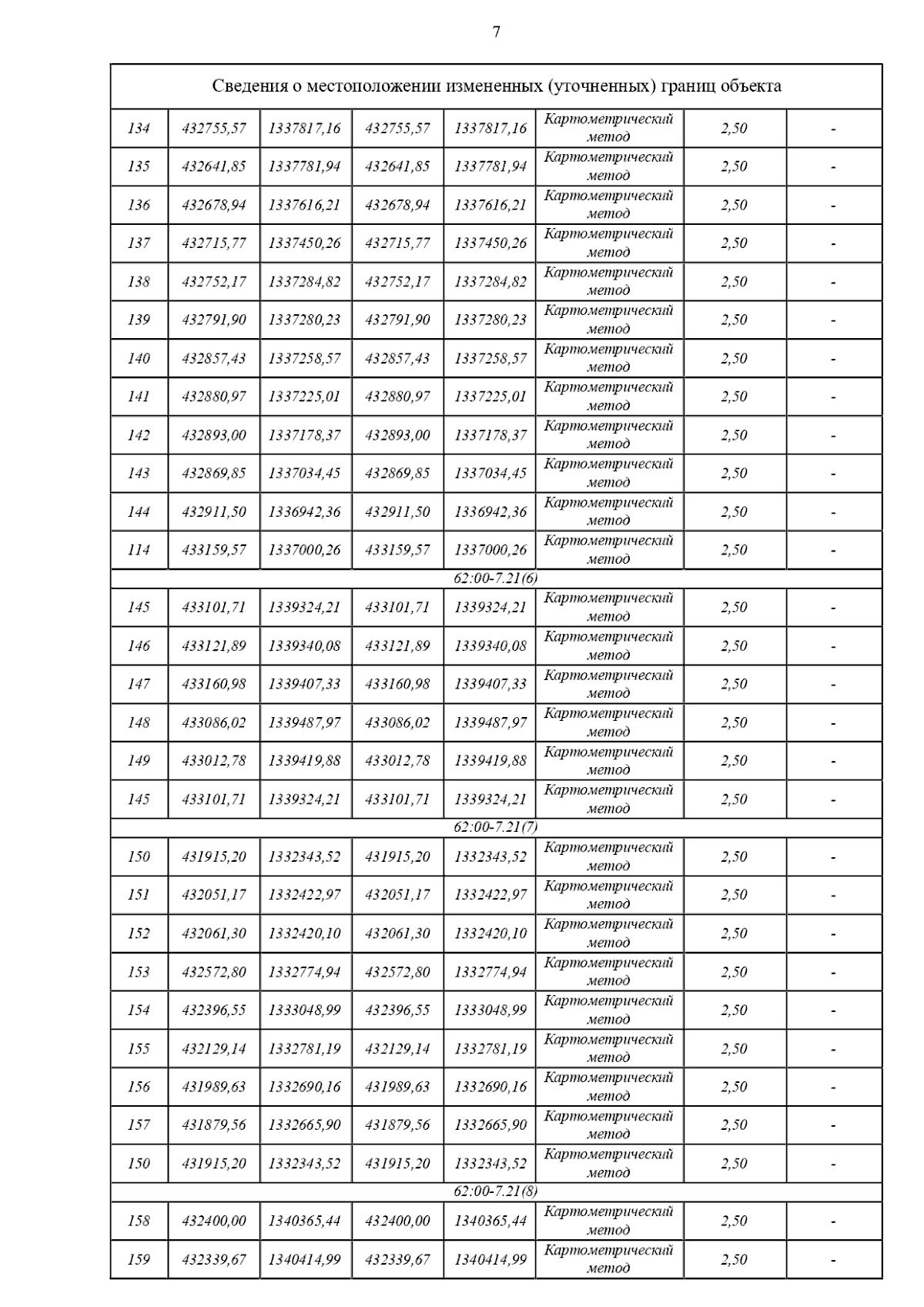
Страница №114 из 119:
Увеличить