Официальное опубликование правовых актов
ОФИЦИАЛЬНОЕ ОПУБЛИКОВАНИЕ
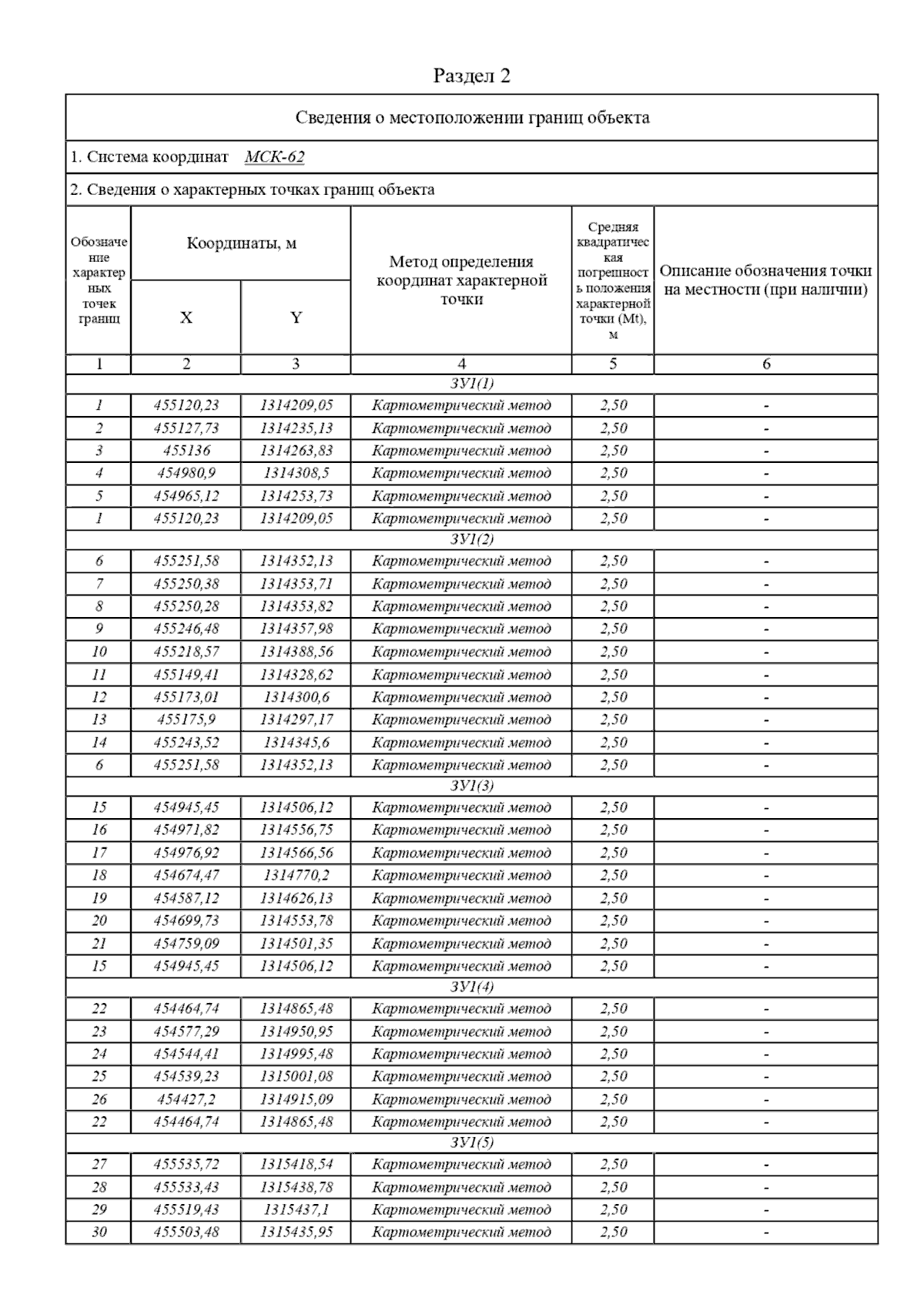
Постановление Главного управления архитектуры и градостроительства Рязанской области от 08.04.2024 № 124-п
"Об утверждении изменений в правила землепользования и застройки муниципального образования – Рыбновское городское поселение Рыбновского муниципального района Рязанской области"
(Зарегистрирован 08.04.2024 № 285)
Номер опубликования: 6201202404100005
Дата опубликования: 10.04.2024
Страница №5 из 57:
Увеличить