Официальное опубликование правовых актов
ОФИЦИАЛЬНОЕ ОПУБЛИКОВАНИЕ
Постановление Главного управления архитектуры и градостроительства Рязанской области от 10.04.2024 № 126-п
"Об утверждении изменений в правила землепользования и застройки муниципального образования – Турлатовское сельское поселение Рязанского муниципального района Рязанской области"
(Зарегистрирован 10.04.2024 № 294)
Номер опубликования: 6201202404150004
Дата опубликования: 15.04.2024
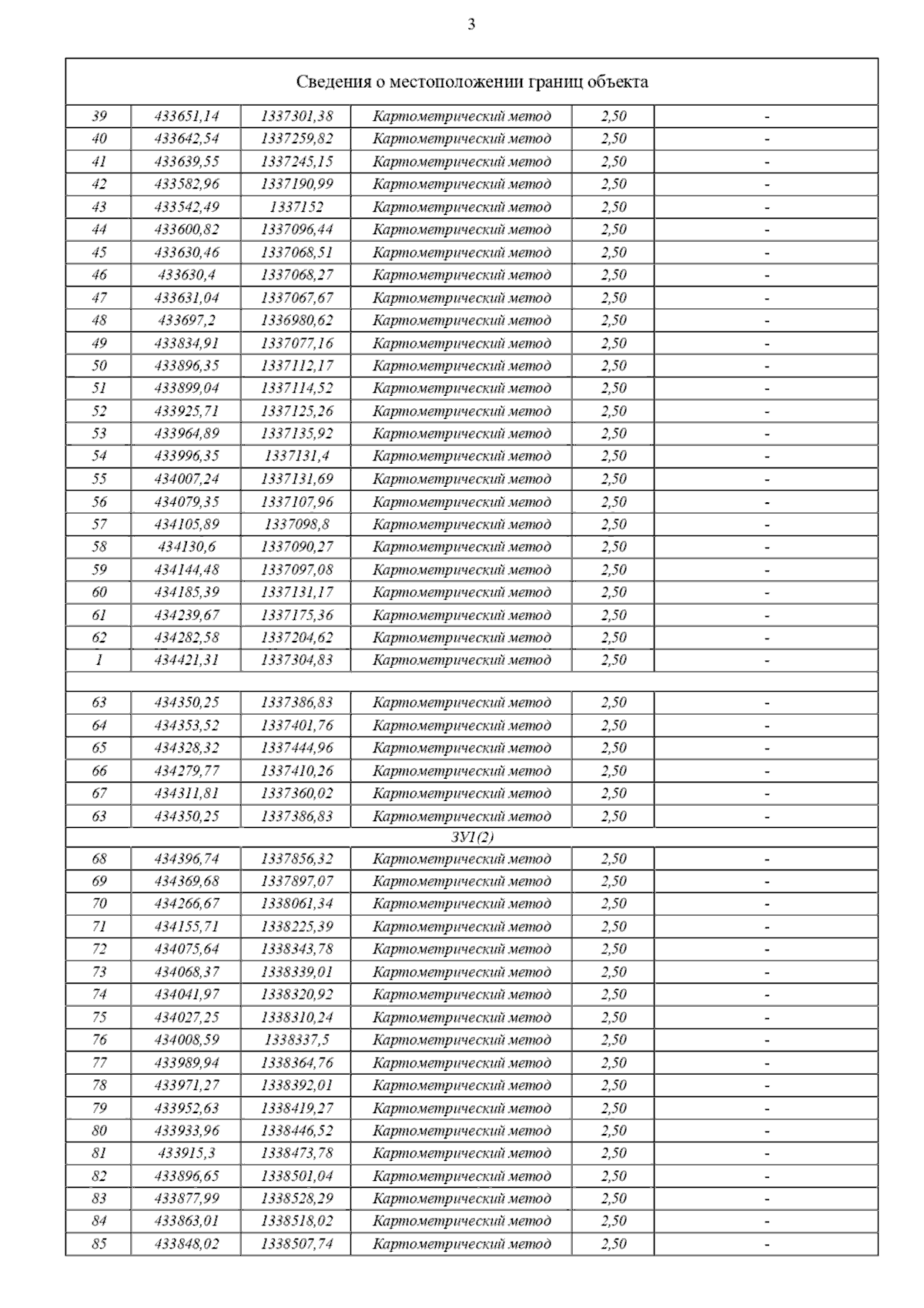
Страница №23 из 27:
Увеличить