Официальное опубликование правовых актов
ОФИЦИАЛЬНОЕ ОПУБЛИКОВАНИЕ
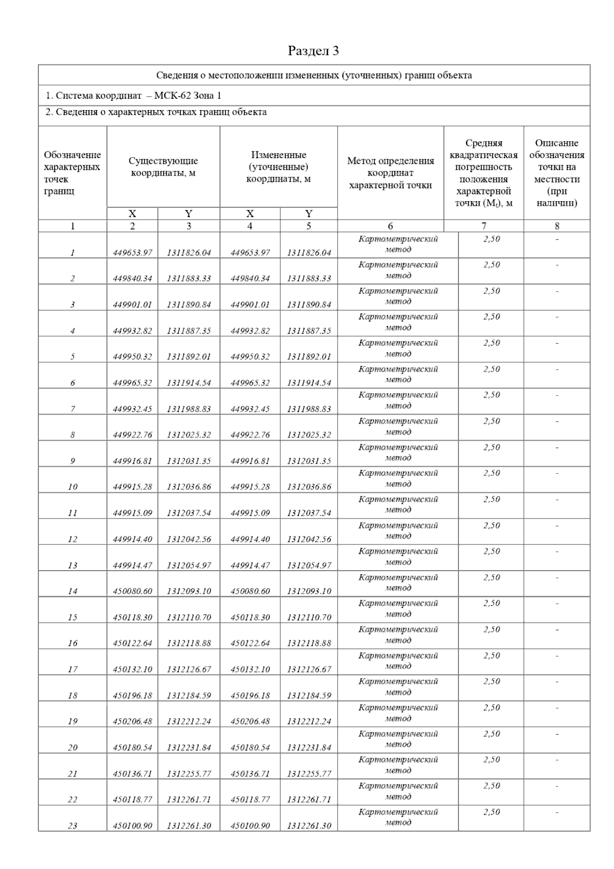
Постановление Главного управления архитектуры и градостроительства Рязанской области от 17.04.2024 № 153-п
"Об утверждении изменений в генеральный план муниципального образования – Баграмовское сельское поселение Рыбновского муниципального района Рязанской области"
(Зарегистрирован 18.04.2024 № 338)
Номер опубликования: 6201202404240002
Дата опубликования: 24.04.2024
Страница №7 из 13:
Увеличить