Официальное опубликование правовых актов
ОФИЦИАЛЬНОЕ ОПУБЛИКОВАНИЕ
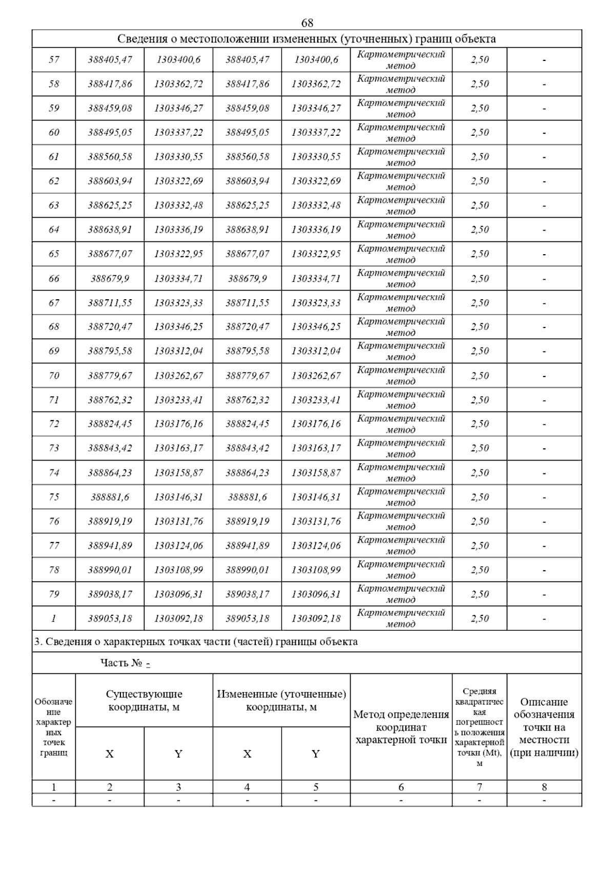
Постановление Главного управления архитектуры и градостроительства Рязанской области от 26.04.2024 № 172-п
"Об утверждении изменений в генеральный план муниципального образования – Слободское сельское поселение Михайловского муниципального района Рязанской области"
(Зарегистрирован 26.04.2024 № 374)
Номер опубликования: 6201202405020003
Дата опубликования: 02.05.2024
Страница №80 из 80:
Увеличить