Официальное опубликование правовых актов
ОФИЦИАЛЬНОЕ ОПУБЛИКОВАНИЕ
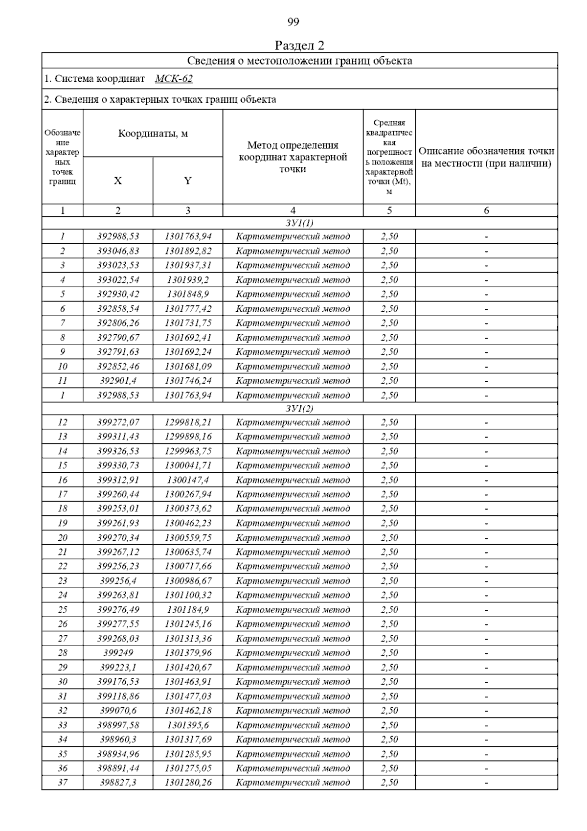
Постановление Главного управления архитектуры и градостроительства Рязанской области от 26.04.2024 № 173-п
"Об утверждении изменений в правила землепользования и застройки муниципального образования – Слободское сельское поселение Михайловского муниципального района Рязанской области"
(Зарегистрирован 26.04.2024 № 375)
Номер опубликования: 6201202405020006
Дата опубликования: 02.05.2024
Страница №133 из 246:
Увеличить