Официальное опубликование правовых актов
ОФИЦИАЛЬНОЕ ОПУБЛИКОВАНИЕ
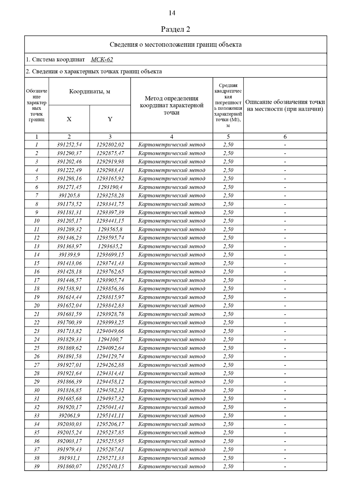
Постановление Главного управления архитектуры и градостроительства Рязанской области от 07.05.2024 № 214-п
"Об утверждении изменений в генеральный план муниципального образования – Красновское сельское поселение Михайловского муниципального района Рязанской области"
(Зарегистрирован 08.05.2024 № 424)
Номер опубликования: 6201202405140010
Дата опубликования: 14.05.2024
Страница №25 из 27:
Увеличить