Официальное опубликование правовых актов
ОФИЦИАЛЬНОЕ ОПУБЛИКОВАНИЕ
Постановление Главного управления архитектуры и градостроительства Рязанской области от 13.05.2024 № 216-п
"Об утверждении генерального плана муниципального образования – Ермоловское сельское поселение Касимовского муниципального района Рязанской области"
(Зарегистрирован 13.05.2024 № 426)
Номер опубликования: 6201202405160004
Дата опубликования: 16.05.2024
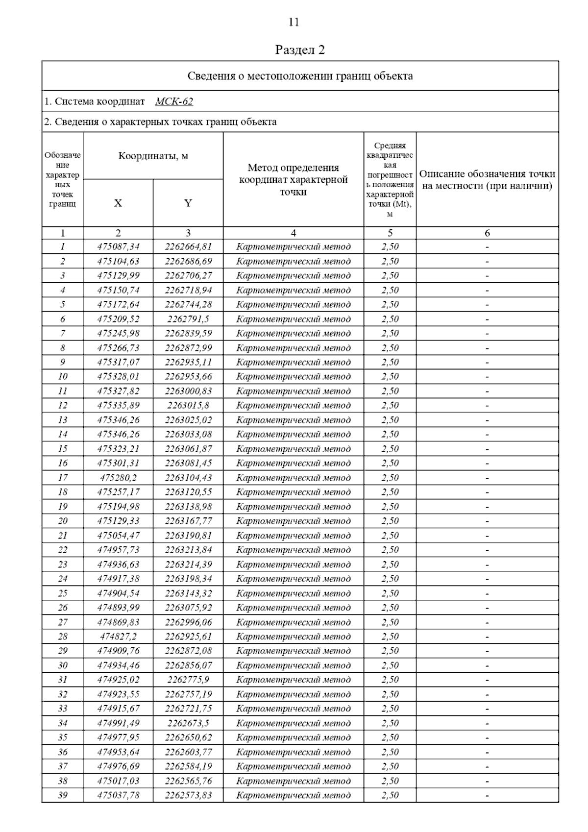
Страница №23 из 53:
Увеличить