Официальное опубликование правовых актов
ОФИЦИАЛЬНОЕ ОПУБЛИКОВАНИЕ
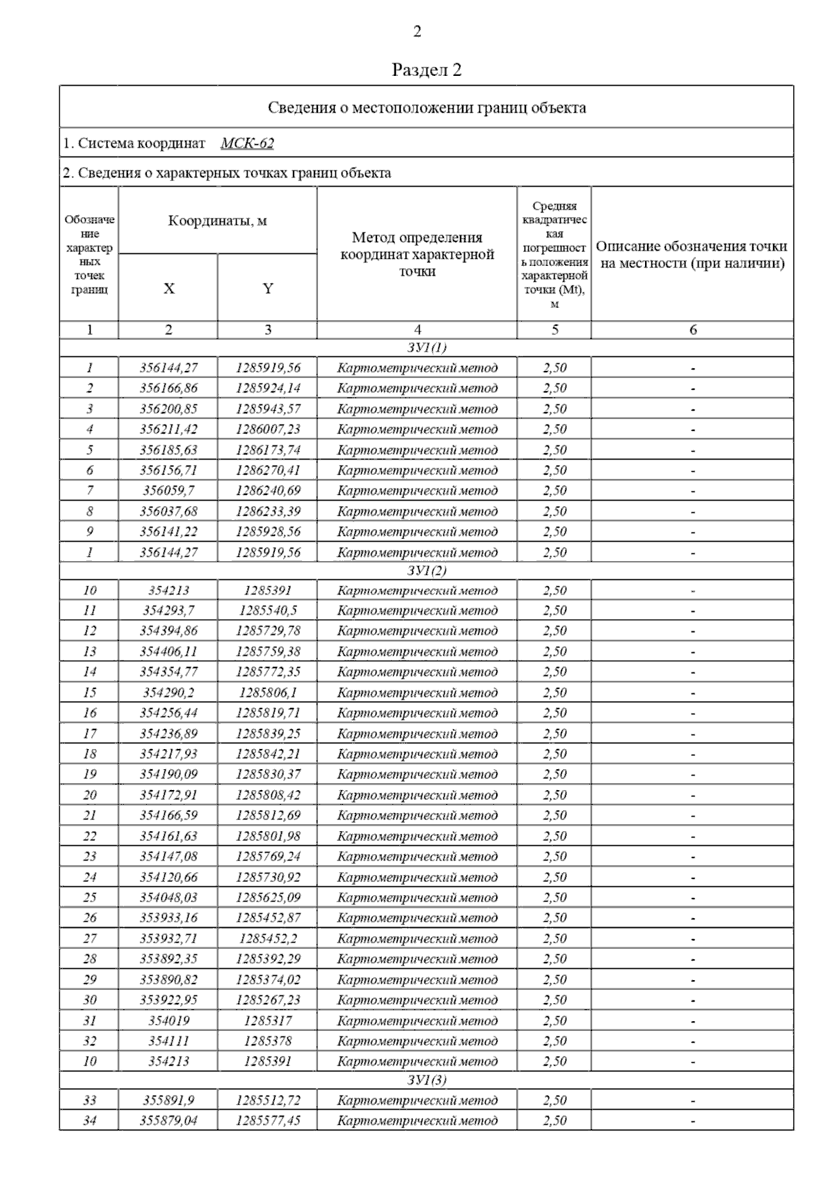
Постановление Главного управления архитектуры и градостроительства Рязанской области от 22.05.2024 № 246-п
"Об утверждении изменений в правила землепользования и застройки муниципального образования – Горловское сельское поселение Скопинского муниципального района Рязанской области"
(Зарегистрирован 23.05.2024 № 475)
Номер опубликования: 6201202405280004
Дата опубликования: 28.05.2024
Страница №4 из 118:
Увеличить