Официальное опубликование правовых актов
ОФИЦИАЛЬНОЕ ОПУБЛИКОВАНИЕ
Постановление Главного управления архитектуры и градостроительства Рязанской области от 22.07.2024 № 346-п
"Об утверждении изменений в генеральный план муниципального образования – Добро-Пчельское сельское поселение Захаровского муниципального района Рязанской области"
(Зарегистрирован 23.07.2024 № 657)
Номер опубликования: 6201202407250010
Дата опубликования: 25.07.2024
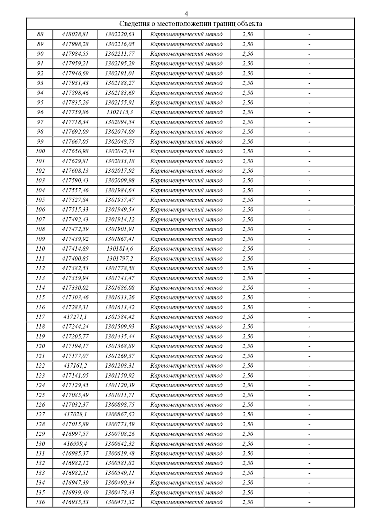
Страница №10 из 12:
Увеличить