Официальное опубликование правовых актов
ОФИЦИАЛЬНОЕ ОПУБЛИКОВАНИЕ
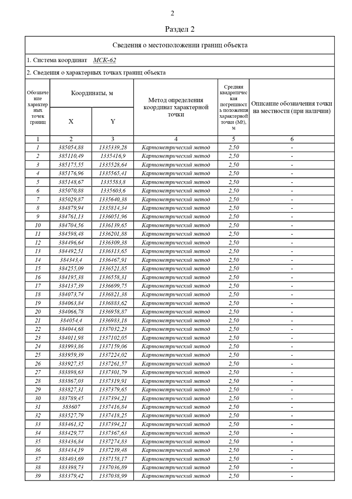
Постановление Главного управления архитектуры и градостроительства Рязанской области от 26.07.2024 № 362-п
"Об утверждении изменений в правила землепользования и застройки муниципального образования – Погореловское сельское поселение Пронского муниципального района Рязанской области"
(Зарегистрирован 29.07.2024 № 677)
Номер опубликования: 6201202407310006
Дата опубликования: 31.07.2024
Страница №6 из 207:
Увеличить