Официальное опубликование правовых актов
ОФИЦИАЛЬНОЕ ОПУБЛИКОВАНИЕ
Постановление Главного управления архитектуры и градостроительства Рязанской области от 31.07.2024 № 375-п
"Об утверждении изменений в правила землепользования и застройки муниципального образования – Чучковское городское поселение Чучковского муниципального района Рязанской области"
(Зарегистрирован 01.08.2024 № 695)
Номер опубликования: 6201202408050004
Дата опубликования: 05.08.2024
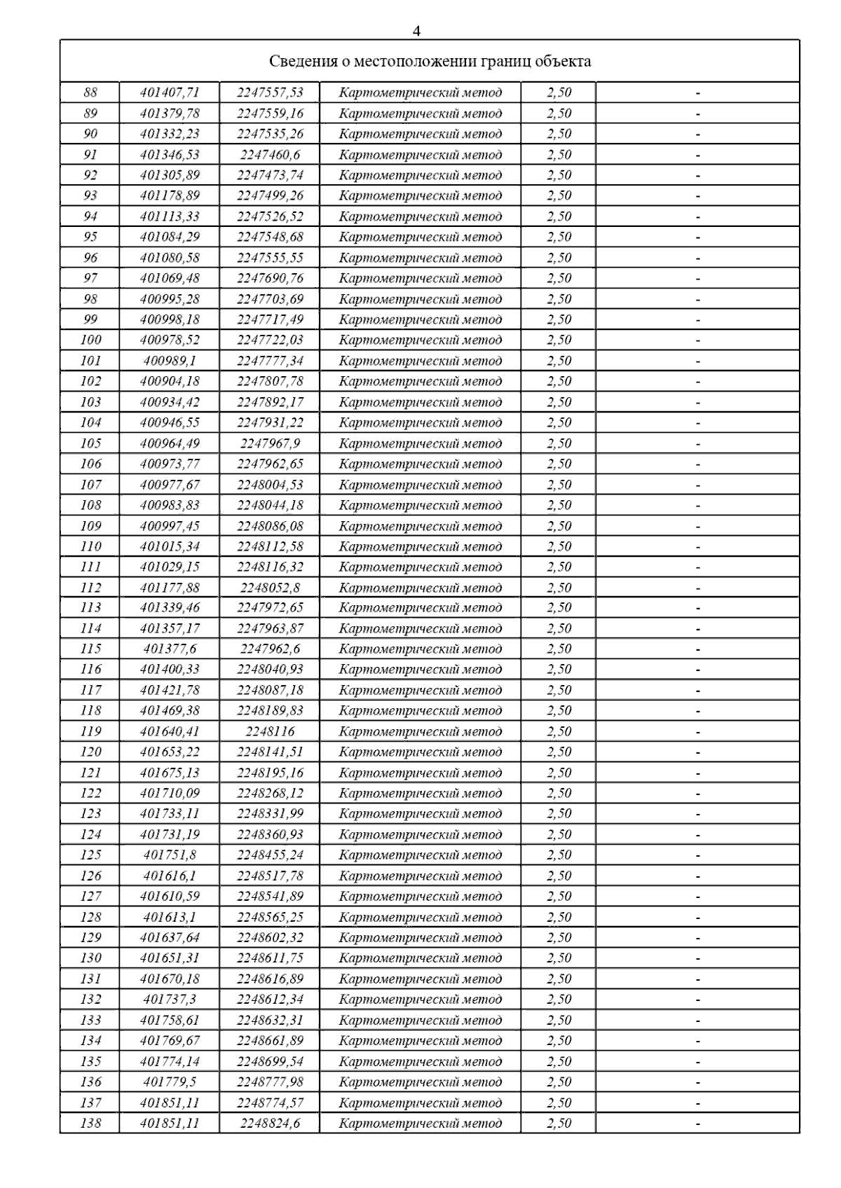
Страница №6 из 43:
Увеличить