Официальное опубликование правовых актов
ОФИЦИАЛЬНОЕ ОПУБЛИКОВАНИЕ
Постановление Главного управления архитектуры и градостроительства Рязанской области от 02.08.2024 № 376-п
"Об утверждении изменений в генеральный план муниципального образования – Завидовское сельское поселение Чучковского муниципального района Рязанской области"
(Зарегистрирован 02.08.2024 № 698)
Номер опубликования: 6201202408060007
Дата опубликования: 06.08.2024
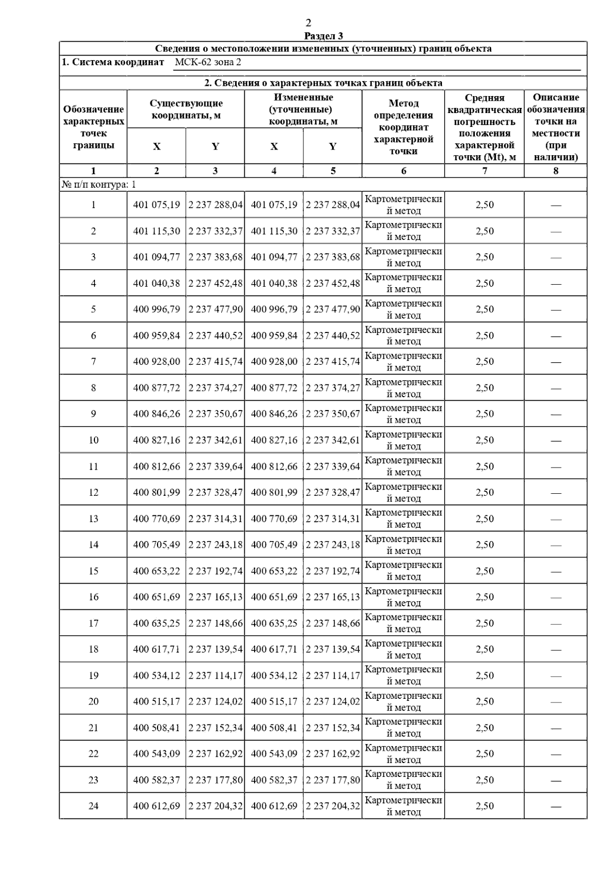
Страница №7 из 11:
Увеличить