Официальное опубликование правовых актов
ОФИЦИАЛЬНОЕ ОПУБЛИКОВАНИЕ
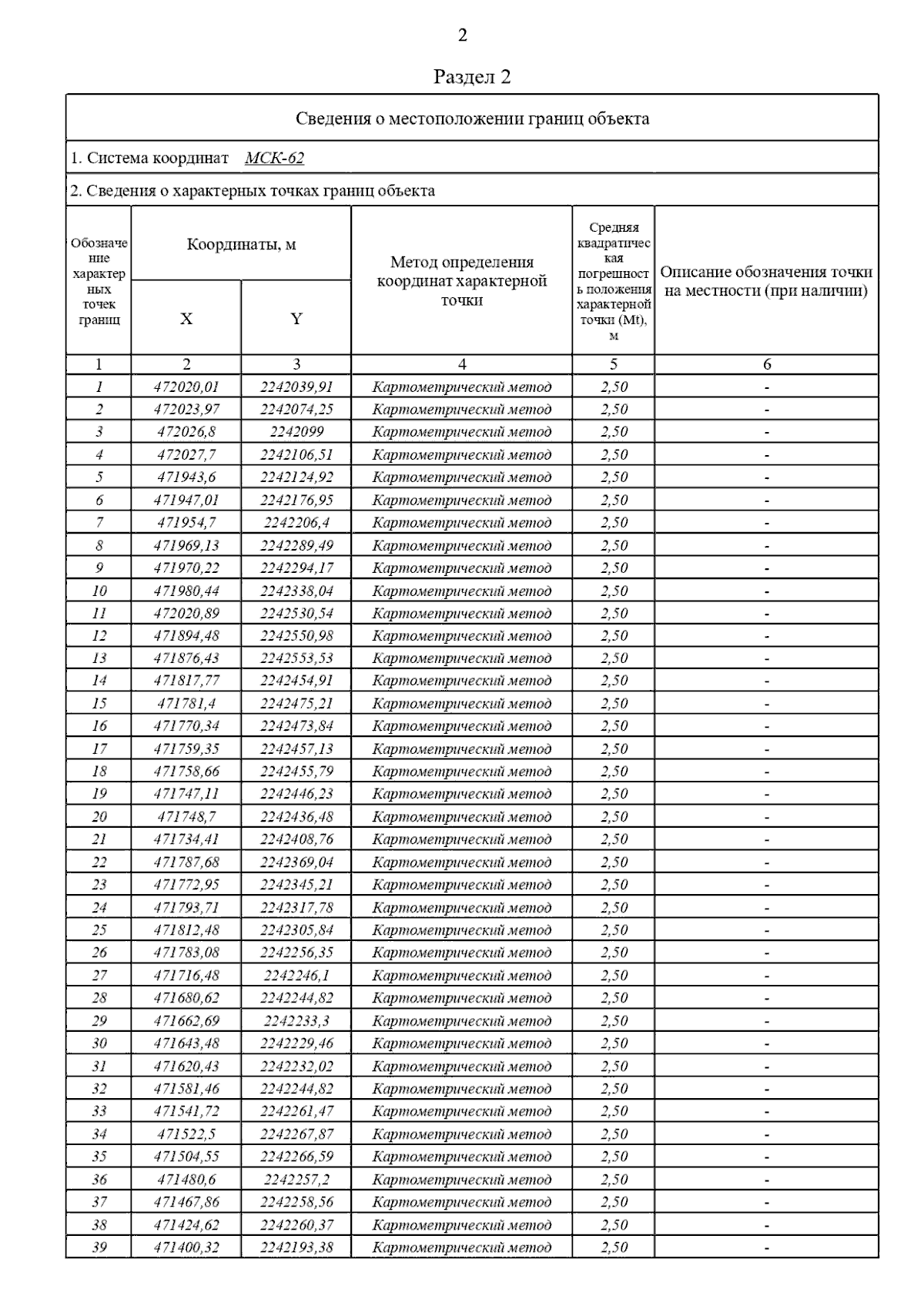
Постановление Главного управления архитектуры и градостроительства Рязанской области от 02.08.2024 № 391-п
"Об утверждении изменений в генеральный план муниципального образования – Овчинниковское сельское поселение Касимовского муниципального района Рязанской области"
(Зарегистрирован 05.08.2024 № 717)
Номер опубликования: 6201202408080001
Дата опубликования: 08.08.2024
Страница №4 из 5:
Увеличить