Официальное опубликование правовых актов
ОФИЦИАЛЬНОЕ ОПУБЛИКОВАНИЕ
Постановление Главного управления архитектуры и градостроительства Рязанской области от 09.08.2024 № 401-п
"Об утверждении генерального плана муниципального образования – Путятинский муниципальный округ Рязанской области применительно к территории Большеекатериновского сельского округа Путятинского района Рязанской области"
(Зарегистрирован 12.08.2024 № 736)
Номер опубликования: 6201202408140005
Дата опубликования: 14.08.2024
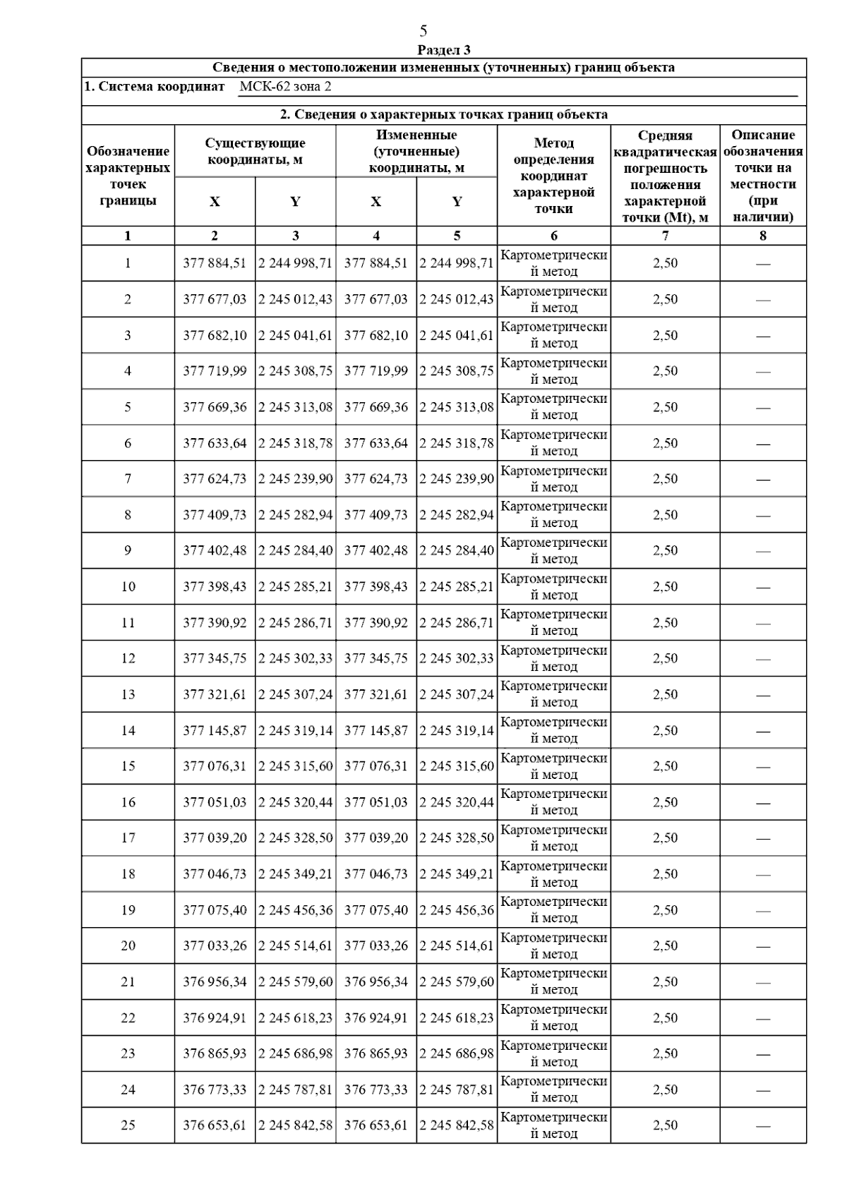
Страница №16 из 40:
Увеличить