Официальное опубликование правовых актов
ОФИЦИАЛЬНОЕ ОПУБЛИКОВАНИЕ
Постановление Главного управления архитектуры и градостроительства Рязанской области от 09.08.2024 № 402-п
"Об утверждении изменений в правила землепользования и застройки муниципального образования – Слободское сельское поселение Михайловского муниципального района Рязанской области"
(Зарегистрирован 12.08.2024 № 737)
Номер опубликования: 6201202408140008
Дата опубликования: 14.08.2024
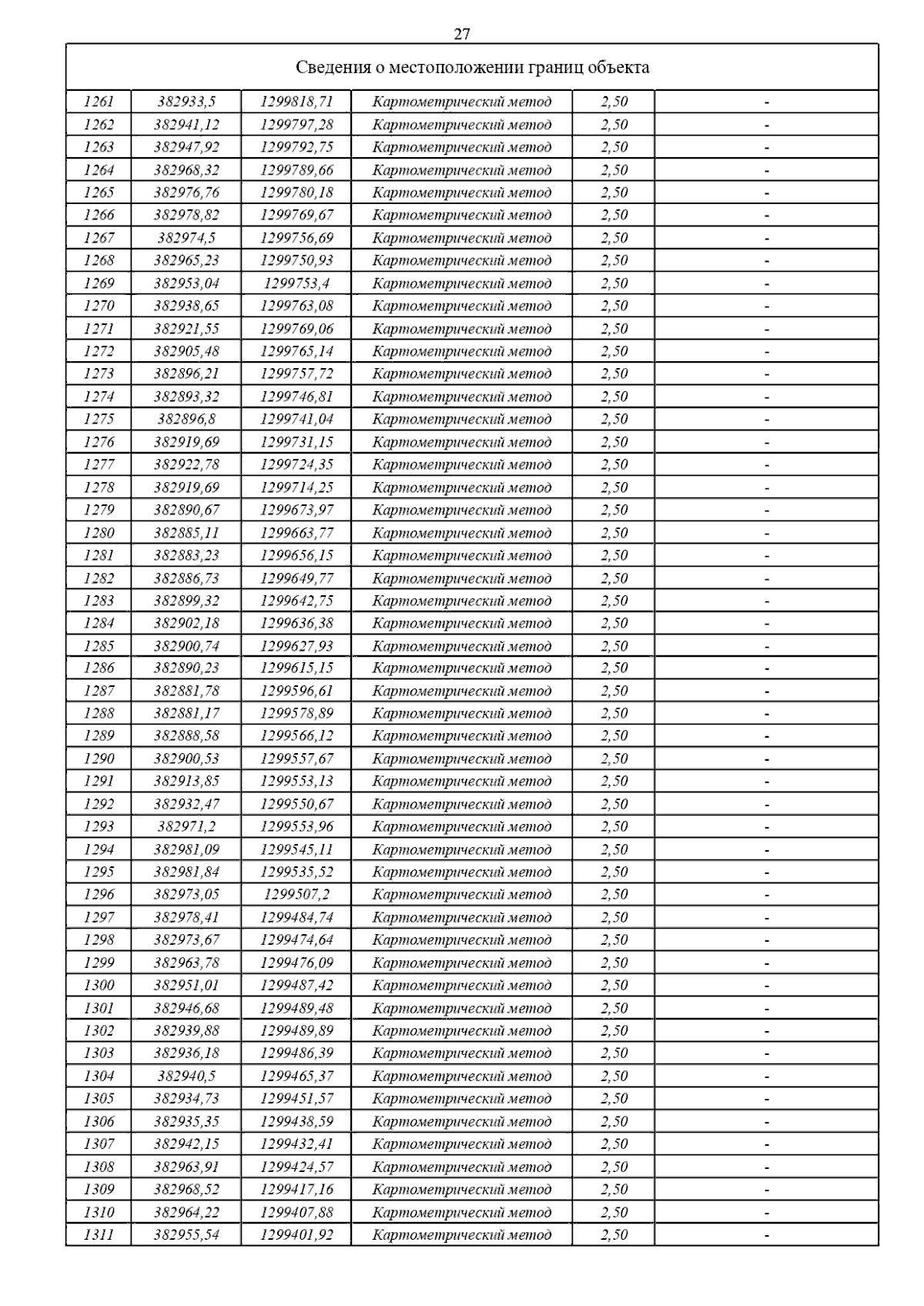
Страница №30 из 88:
Увеличить