Официальное опубликование правовых актов
ОФИЦИАЛЬНОЕ ОПУБЛИКОВАНИЕ
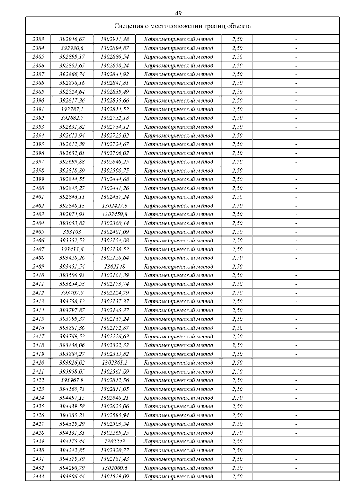
Постановление Главного управления архитектуры и градостроительства Рязанской области от 09.08.2024 № 402-п
"Об утверждении изменений в правила землепользования и застройки муниципального образования – Слободское сельское поселение Михайловского муниципального района Рязанской области"
(Зарегистрирован 12.08.2024 № 737)
Номер опубликования: 6201202408140008
Дата опубликования: 14.08.2024
Страница №52 из 88:
Увеличить