Официальное опубликование правовых актов
ОФИЦИАЛЬНОЕ ОПУБЛИКОВАНИЕ
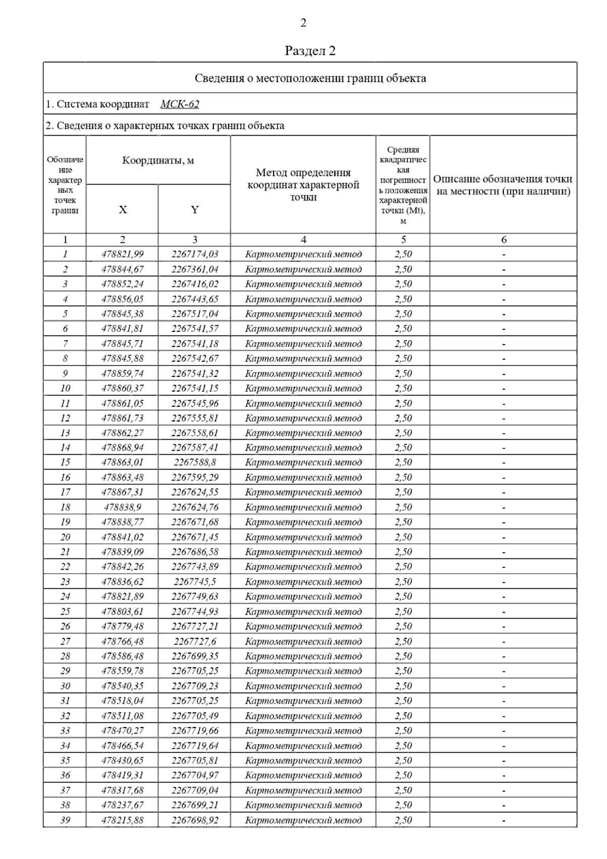
Постановление Главного управления архитектуры и градостроительства Рязанской области от 13.08.2024 № 411-п
"Об утверждении изменений в правила землепользования и застройки муниципального образования – Ермоловское сельское поселение Касимовского муниципального района Рязанской области"
(Зарегистрирован 15.08.2024 № 752)
Номер опубликования: 6201202408190006
Дата опубликования: 19.08.2024
Страница №9 из 10:
Увеличить