Официальное опубликование правовых актов
ОФИЦИАЛЬНОЕ ОПУБЛИКОВАНИЕ
Постановление Главного управления архитектуры и градостроительства Рязанской области от 28.08.2024 № 444-п
"Об утверждении правил землепользования и застройки муниципального образования – Путятинский муниципальный округ Рязанской области применительно к территории Путятинского сельского округа Путятинского района Рязанской области"
(Зарегистрирован 28.08.2024 № 808)
Номер опубликования: 6201202409020002
Дата опубликования: 02.09.2024
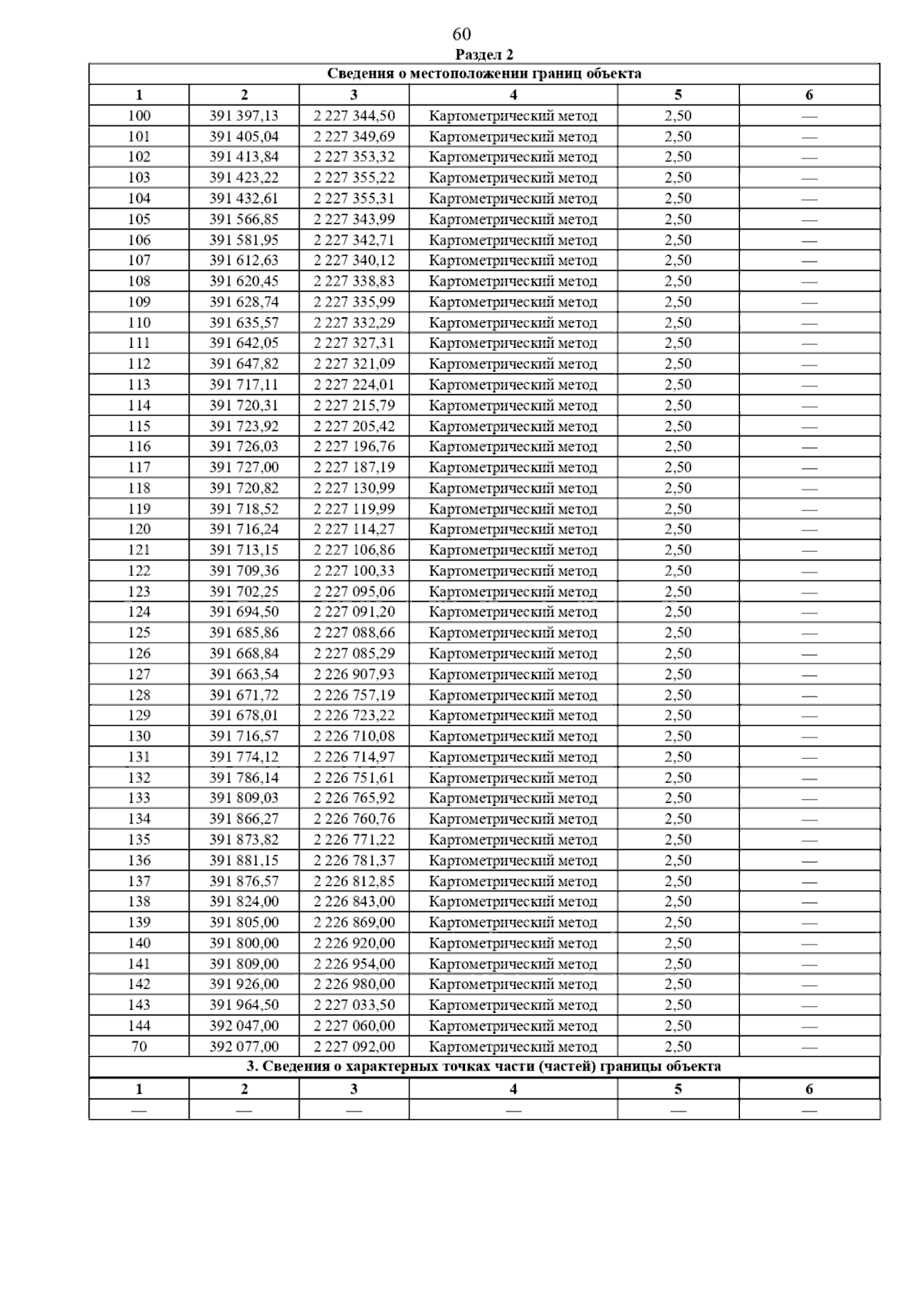
Страница №100 из 116:
Увеличить