Официальное опубликование правовых актов
ОФИЦИАЛЬНОЕ ОПУБЛИКОВАНИЕ
Постановление Главного управления архитектуры и градостроительства Рязанской области от 02.09.2024 № 458-п
"Об утверждении изменений в правила землепользования и застройки муниципального образования – Дядьковское сельское поселение Рязанского муниципального района Рязанской области"
(Зарегистрирован 03.09.2024 № 830)
Номер опубликования: 6201202409050003
Дата опубликования: 05.09.2024
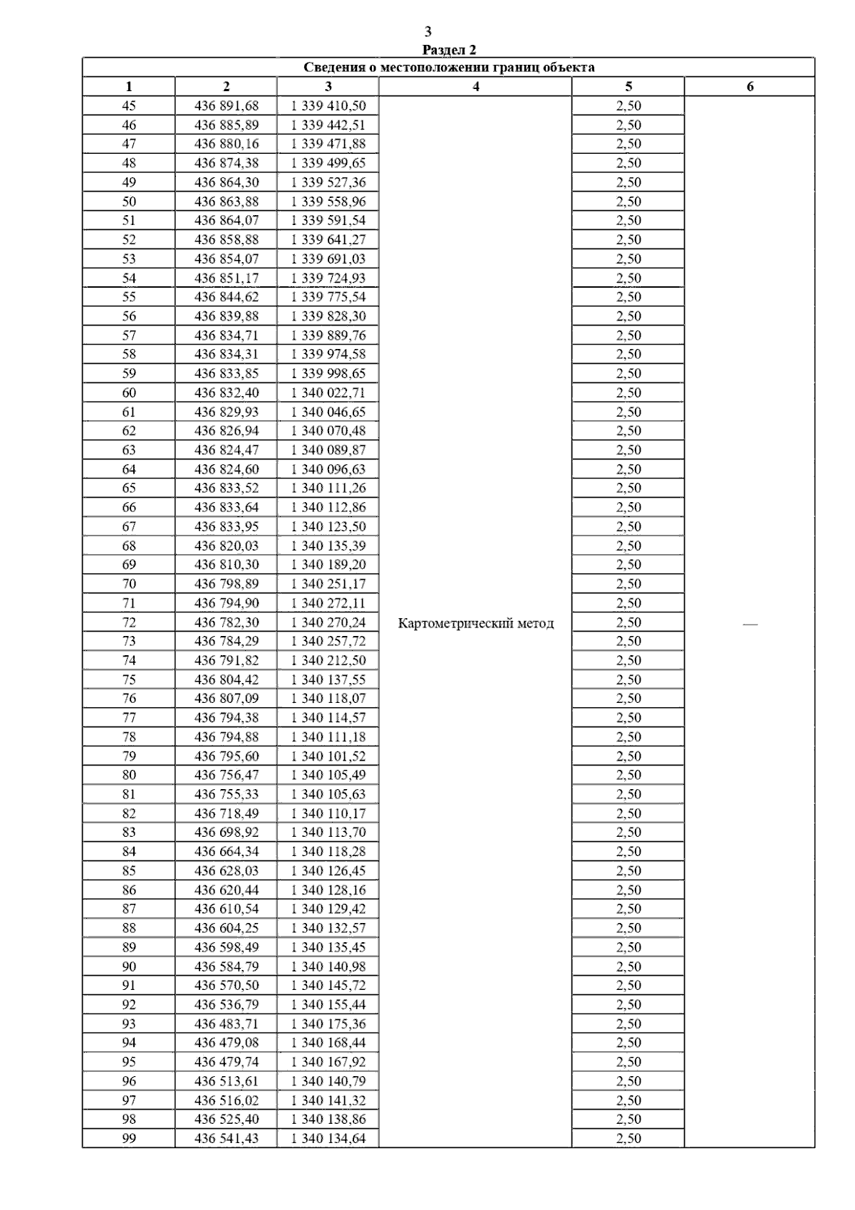
Страница №5 из 10:
Увеличить