Официальное опубликование правовых актов
ОФИЦИАЛЬНОЕ ОПУБЛИКОВАНИЕ
Постановление Главного управления архитектуры и градостроительства Рязанской области от 02.09.2024 № 456-п
"Об утверждении изменений в правила землепользования и застройки муниципального образования – Пощуповское сельское поселение Рыбновского муниципального района Рязанской области"
(Зарегистрирован 03.09.2024 № 828)
Номер опубликования: 6201202409050005
Дата опубликования: 05.09.2024
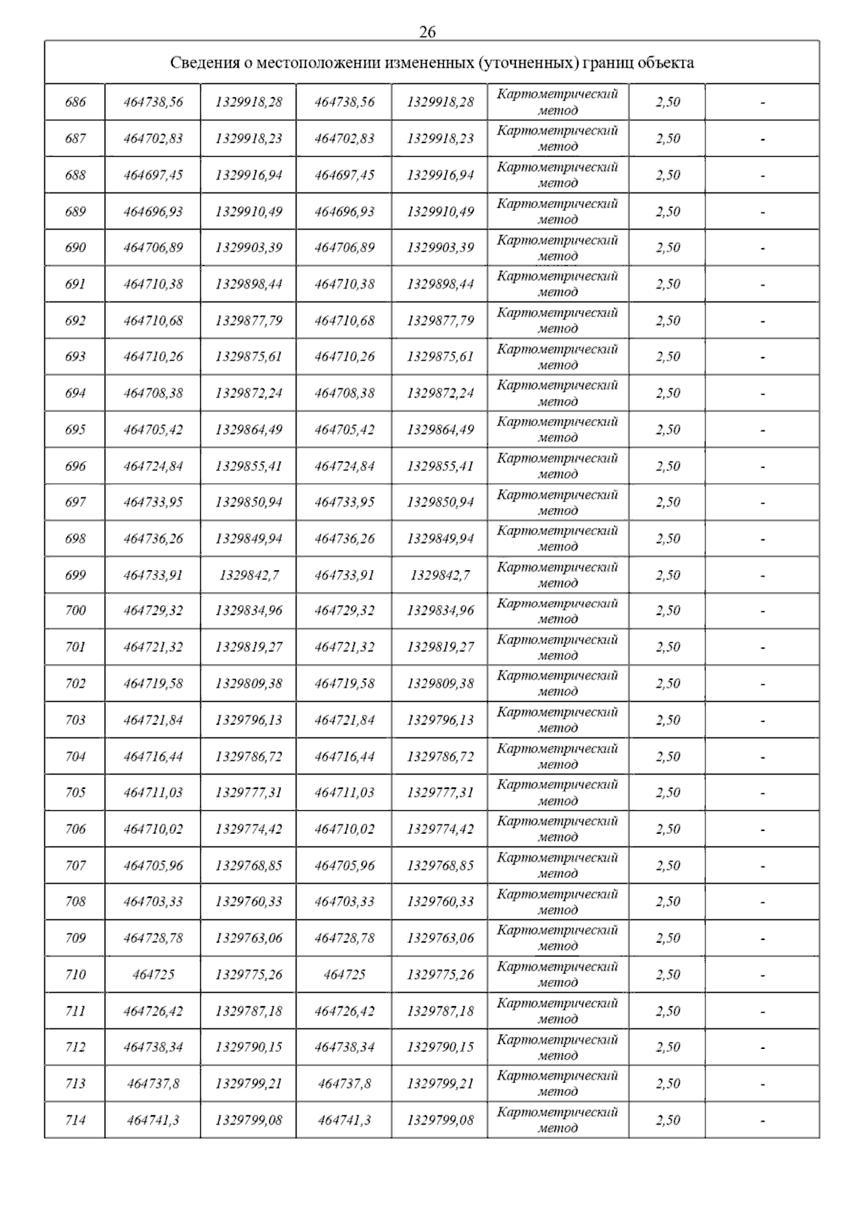
Страница №28 из 68:
Увеличить