Официальное опубликование правовых актов
ОФИЦИАЛЬНОЕ ОПУБЛИКОВАНИЕ
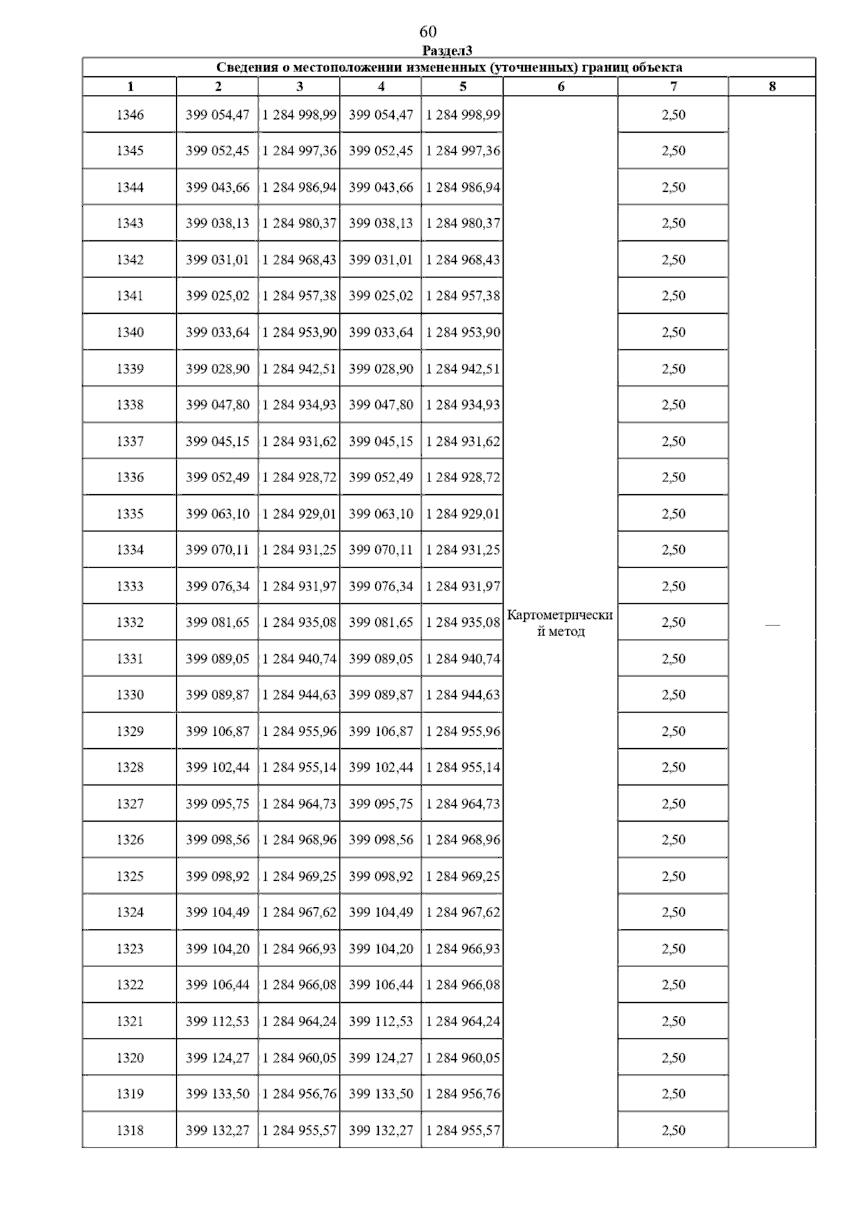
Постановление Главного управления архитектуры и градостроительства Рязанской области от 10.09.2024 № 476-п
"Об утверждении изменений в правила землепользования и застройки муниципального образования – Михайловское городское поселение Михайловского муниципального района Рязанской области"
(Зарегистрирован 11.09.2024 № 854)
Номер опубликования: 6201202409130003
Дата опубликования: 13.09.2024
Страница №62 из 129:
Увеличить