Официальное опубликование правовых актов
ОФИЦИАЛЬНОЕ ОПУБЛИКОВАНИЕ
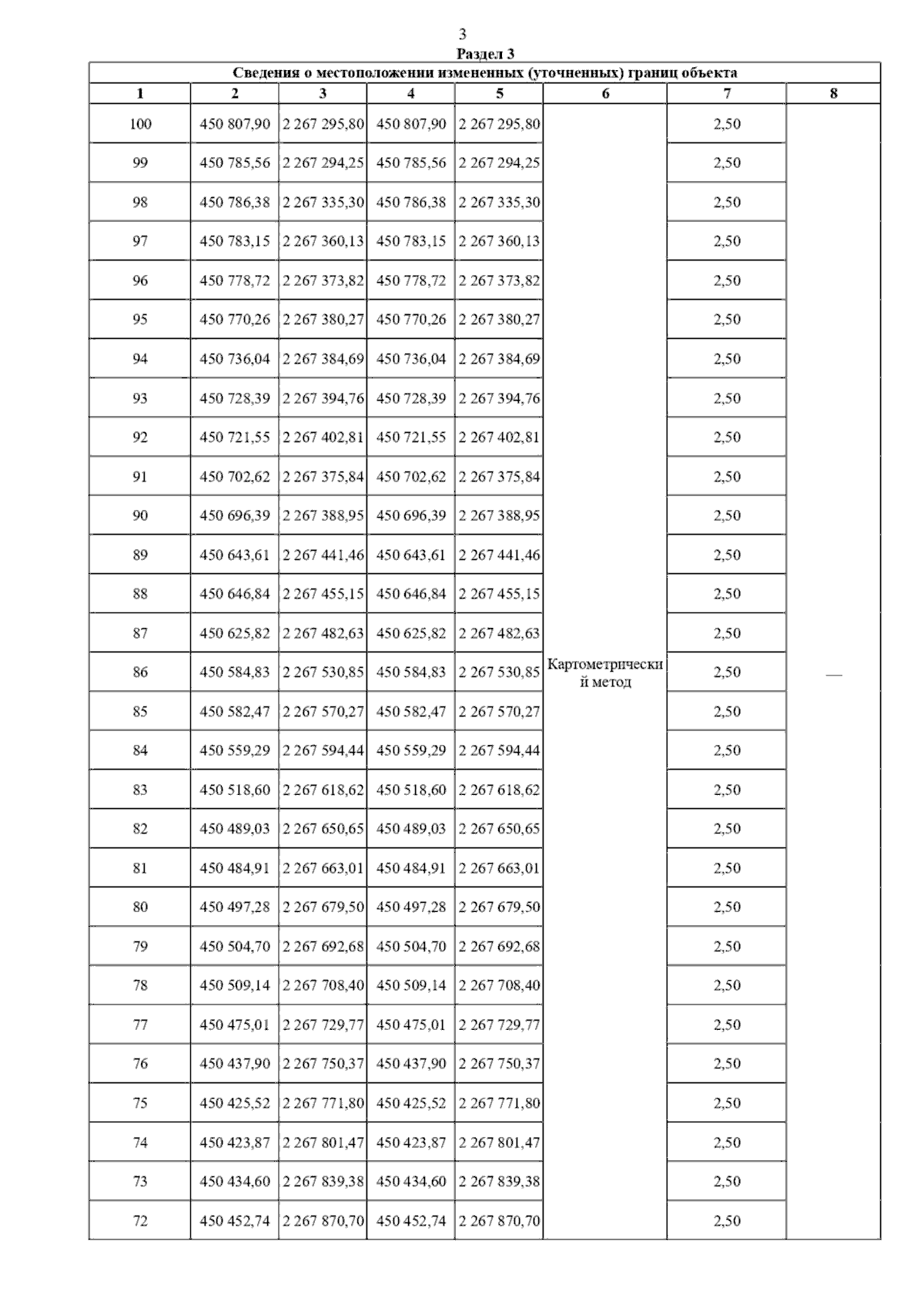
Постановление Главного управления архитектуры и градостроительства Рязанской области от 08.10.2024 № 538-п
"Об утверждении изменений в правила землепользования и застройки муниципального образования – Ермо-Николаевское сельское поселение Пителинского муниципального района Рязанской области"
(Зарегистрирован 09.10.2024 № 957)
Номер опубликования: 6201202410100003
Дата опубликования: 10.10.2024
Страница №82 из 87:
Увеличить