Официальное опубликование правовых актов
ОФИЦИАЛЬНОЕ ОПУБЛИКОВАНИЕ
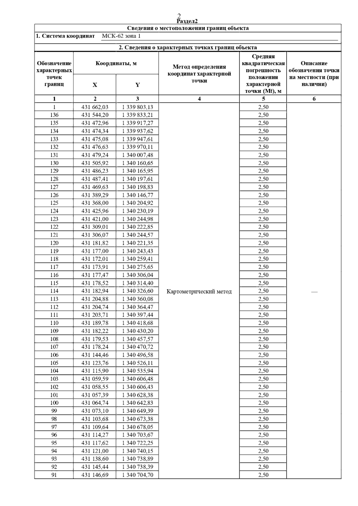
Постановление Главного управления архитектуры и градостроительства Рязанской области от 16.10.2024 № 572-п
"Об утверждении изменений в правила землепользования и застройки муниципального образования – Турлатовское сельское поселение Рязанского муниципального района Рязанской области"
(Зарегистрирован 17.10.2024 № 1013)
Номер опубликования: 6201202410230002
Дата опубликования: 23.10.2024
Страница №4 из 181:
Увеличить