Официальное опубликование правовых актов
ОФИЦИАЛЬНОЕ ОПУБЛИКОВАНИЕ
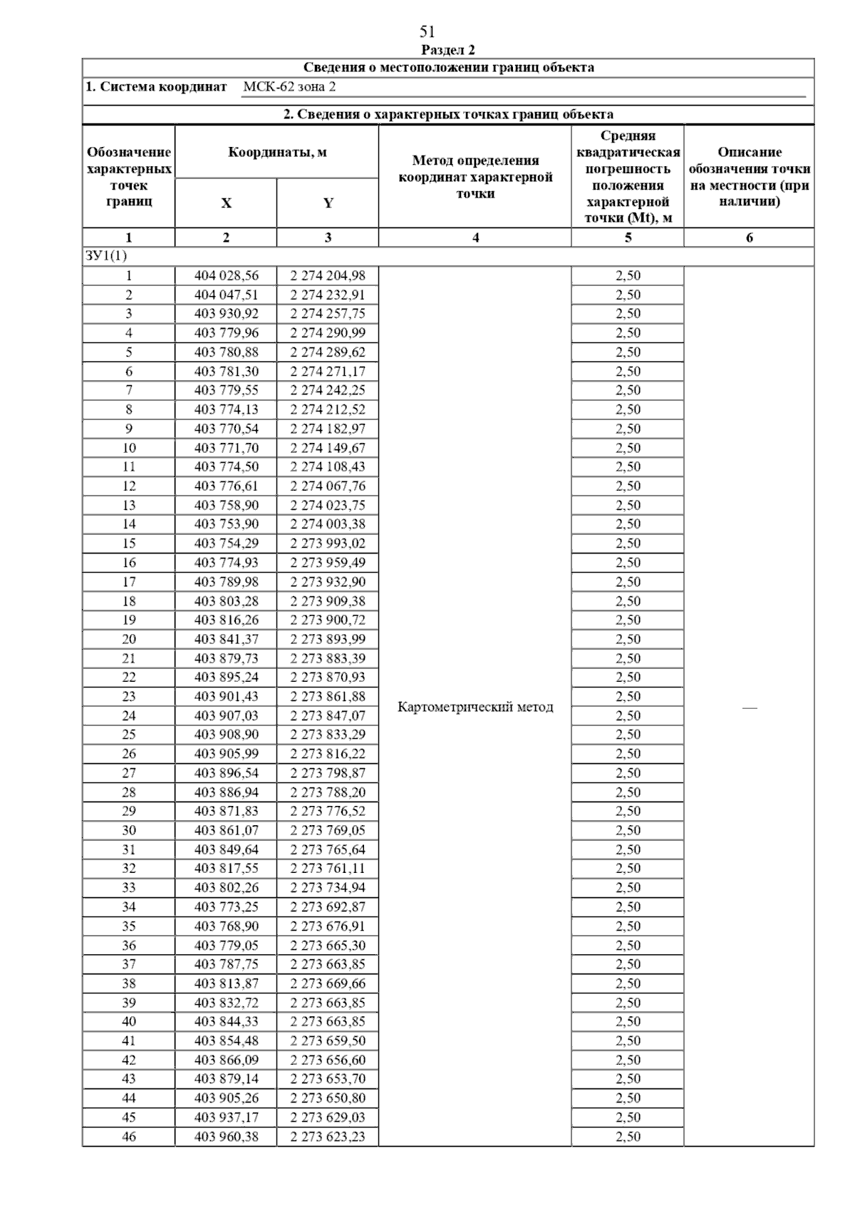
Постановление Главного управления архитектуры и градостроительства Рязанской области от 24.10.2024 № 591-п
"Об утверждении правил землепользования и застройки муниципального образования – Сасовский муниципальный округ Рязанской области применительно к территории Алешинского сельского округа Сасовского района Рязанской области"
(Зарегистрирован 25.10.2024 № 1045)
Номер опубликования: 6201202410300002
Дата опубликования: 30.10.2024
Страница №90 из 117:
Увеличить