Официальное опубликование правовых актов
ОФИЦИАЛЬНОЕ ОПУБЛИКОВАНИЕ
Постановление Главного управления архитектуры и градостроительства Рязанской области от 24.10.2024 № 590-п
"Об утверждении генерального плана муниципального образования – Сасовский муниципальный округ Рязанской области применительно к территории Алешинского сельского округа Сасовского района Рязанской области"
(Зарегистрирован 25.10.2024 № 1044)
Номер опубликования: 6201202410300004
Дата опубликования: 30.10.2024
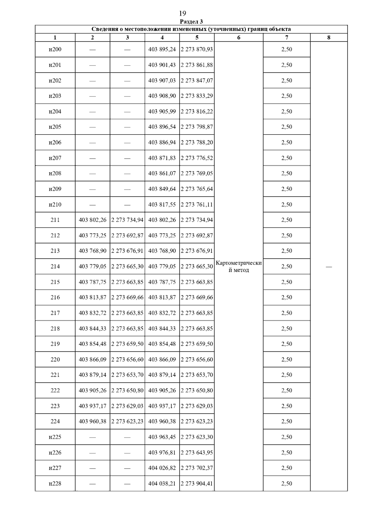
Страница №31 из 56:
Увеличить