Официальное опубликование правовых актов
ОФИЦИАЛЬНОЕ ОПУБЛИКОВАНИЕ
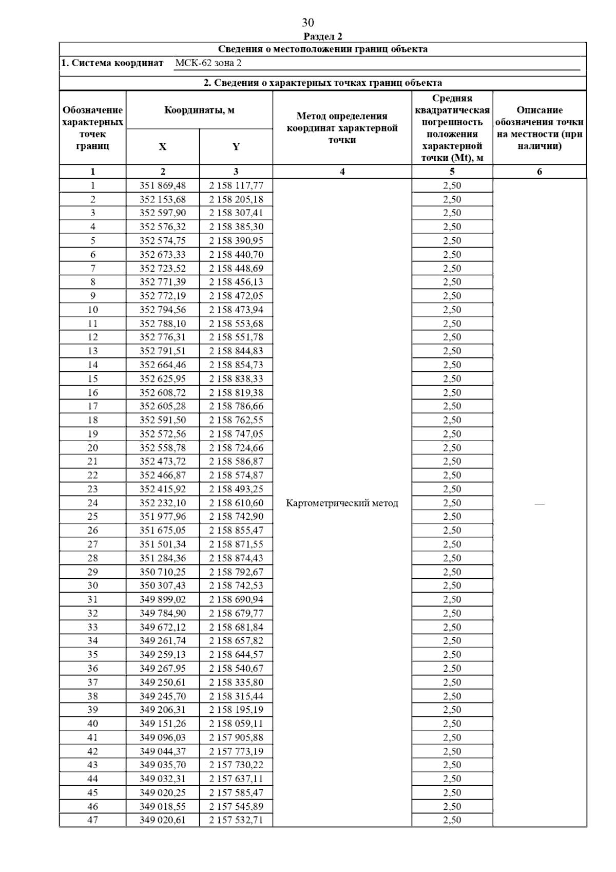
Постановление Главного управления архитектуры и градостроительства Рязанской области от 24.10.2024 № 588-п
"Об утверждении генерального плана муниципального образования – Ряжский муниципальный округ Рязанской области применительно к территории Поплевинского сельского округа Ряжского района Рязанской области"
(Зарегистрирован 25.10.2024 № 1042)
Номер опубликования: 6201202410300005
Дата опубликования: 30.10.2024
Страница №42 из 49:
Увеличить