Официальное опубликование правовых актов
ОФИЦИАЛЬНОЕ ОПУБЛИКОВАНИЕ
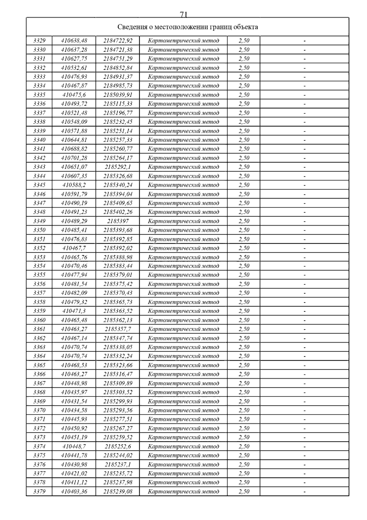
Постановление Главного управления архитектуры и градостроительства Рязанской области от 28.10.2024 № 598-п
"Об утверждении изменений в правила землепользования и застройки муниципального образования - Кирицкое сельское поселение Спасского муниципального района Рязанской области"
(Зарегистрирован 28.10.2024 № 1053)
Номер опубликования: 6201202410300014
Дата опубликования: 30.10.2024
Страница №73 из 118:
Увеличить