Официальное опубликование правовых актов
ОФИЦИАЛЬНОЕ ОПУБЛИКОВАНИЕ
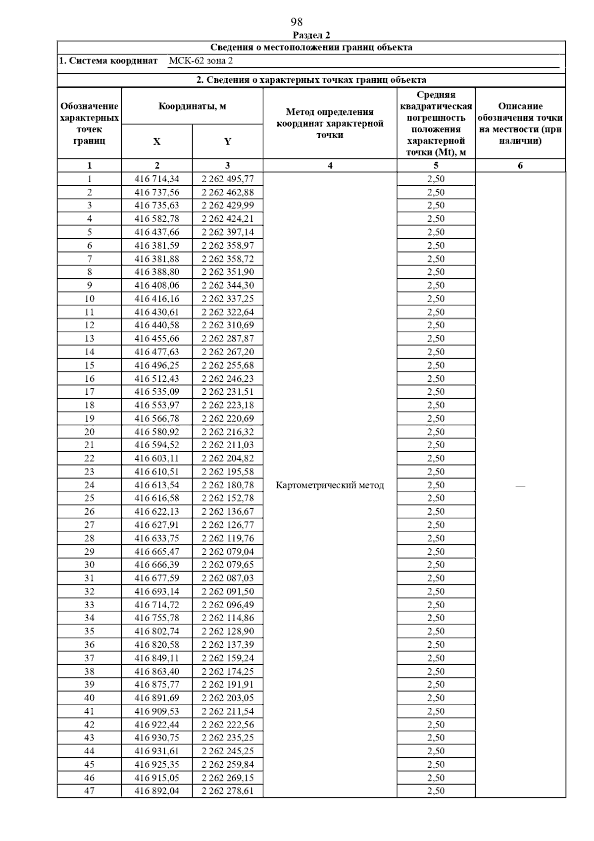
Постановление Главного управления архитектуры и градостроительства Рязанской области от 28.10.2024 № 606-п
"Об утверждении правил землепользования и застройки муниципального образования – Сасовский муниципальный округ Рязанской области применительно к территории Каргашинского сельского округа Сасовского района Рязанской области"
(Зарегистрирован 28.10.2024 № 1061)
Номер опубликования: 6201202410300016
Дата опубликования: 30.10.2024
Страница №135 из 177:
Увеличить