Официальное опубликование правовых актов
ОФИЦИАЛЬНОЕ ОПУБЛИКОВАНИЕ
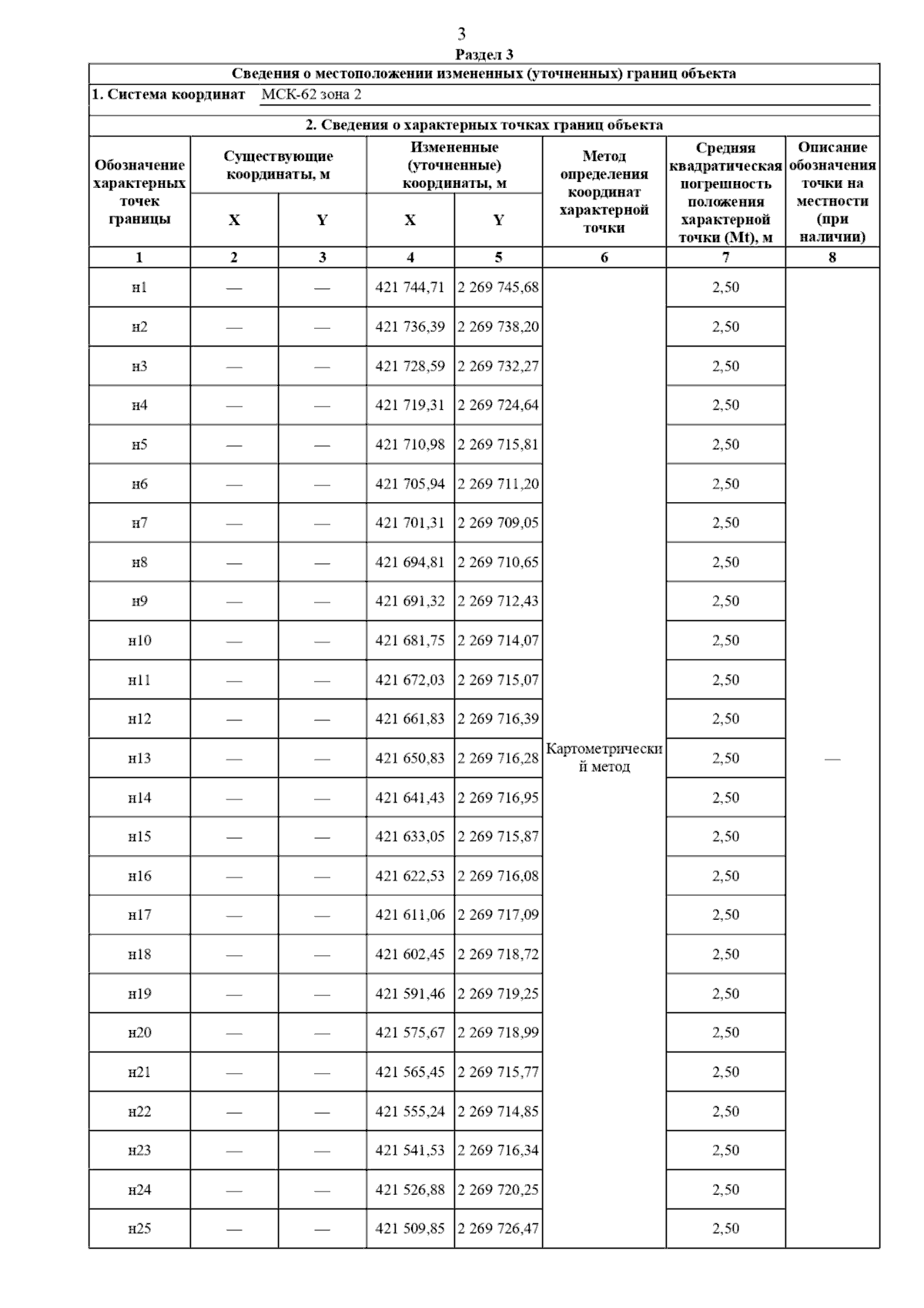
Постановление Главного управления архитектуры и градостроительства Рязанской области от 28.10.2024 № 607-п
"Об утверждении генерального плана муниципального образования – Сасовский муниципальный округ Рязанской области применительно к территории Гавриловского сельского округа Сасовского района Рязанской области"
(Зарегистрирован 29.10.2024 № 1064)
Номер опубликования: 6201202410310002
Дата опубликования: 31.10.2024
Страница №14 из 59:
Увеличить