Официальное опубликование правовых актов
ОФИЦИАЛЬНОЕ ОПУБЛИКОВАНИЕ
Постановление Главного управления архитектуры и градостроительства Рязанской области от 29.10.2024 № 612-п
"Об утверждении правил землепользования и застройки муниципального образования – Ряжский муниципальный округ Рязанской области применительно к территориям города Ряжск с прилегающей территорией, Алешинского и Журавинского сельских округов Ряжского района Рязанской области"
(Зарегистрирован 29.10.2024 № 1069)
Номер опубликования: 6201202410310008
Дата опубликования: 31.10.2024
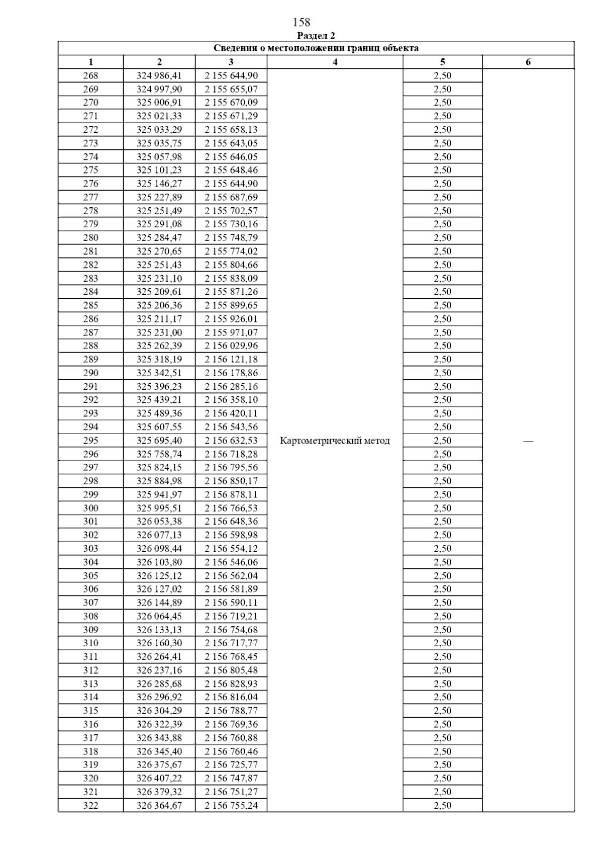
Страница №213 из 569:
Увеличить