Официальное опубликование правовых актов
ОФИЦИАЛЬНОЕ ОПУБЛИКОВАНИЕ
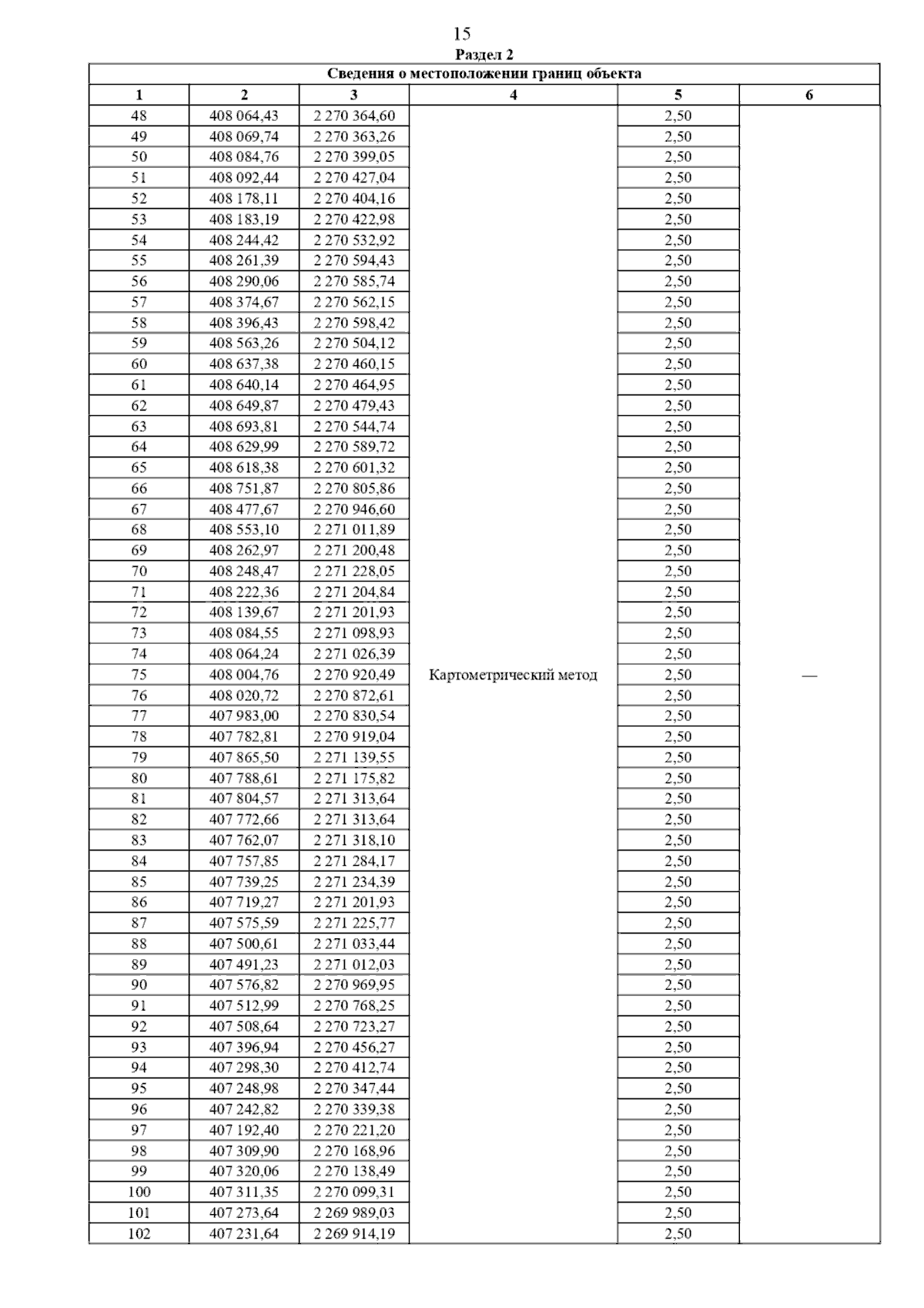
Постановление Главного управления архитектуры и градостроительства Рязанской области от 30.10.2024 № 616-п
"Об утверждении генерального плана муниципального образования – Сасовский муниципальный округ Рязанской области применительно к территории Сотницынского сельского округа Сасовского района Рязанской области"
(Зарегистрирован 30.10.2024 № 1074)
Номер опубликования: 6201202411020005
Дата опубликования: 02.11.2024
Страница №26 из 27:
Увеличить