Официальное опубликование правовых актов
ОФИЦИАЛЬНОЕ ОПУБЛИКОВАНИЕ
Постановление Главного управления архитектуры и градостроительства Рязанской области от 05.11.2024 № 641-п
"Об утверждении изменений в правила землепользования и застройки муниципального образования – Чучковское городское поселение Чучковского муниципального района Рязанской области"
(Зарегистрирован 06.11.2024 № 1105)
Номер опубликования: 6201202411120007
Дата опубликования: 12.11.2024
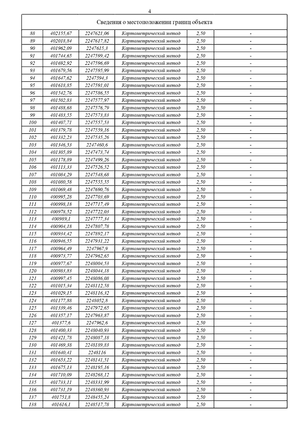
Страница №14 из 52:
Увеличить