Официальное опубликование правовых актов
ОФИЦИАЛЬНОЕ ОПУБЛИКОВАНИЕ
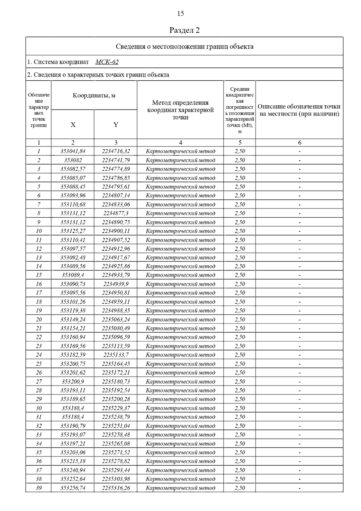
Постановление Главного управления архитектуры и градостроительства Рязанской области от 14.11.2024 № 660-п
"Об утверждении изменений в правила землепользования и застройки муниципального образования – Борецкое сельское поселение Сараевского муниципального района Рязанской области"
(Зарегистрирован 15.11.2024 № 1194)
Номер опубликования: 6201202411190015
Дата опубликования: 19.11.2024
Страница №17 из 55:
Увеличить