Официальное опубликование правовых актов
ОФИЦИАЛЬНОЕ ОПУБЛИКОВАНИЕ
Постановление Главного управления архитектуры и градостроительства Рязанской области от 21.11.2024 № 676-п
"Об утверждении изменений в правила землепользования и застройки муниципального образования - Пощуповское сельское поселение Рыбновского муниципального района Рязанской области"
(Зарегистрирован 22.11.2024 № 1274)
Номер опубликования: 6201202411270005
Дата опубликования: 27.11.2024
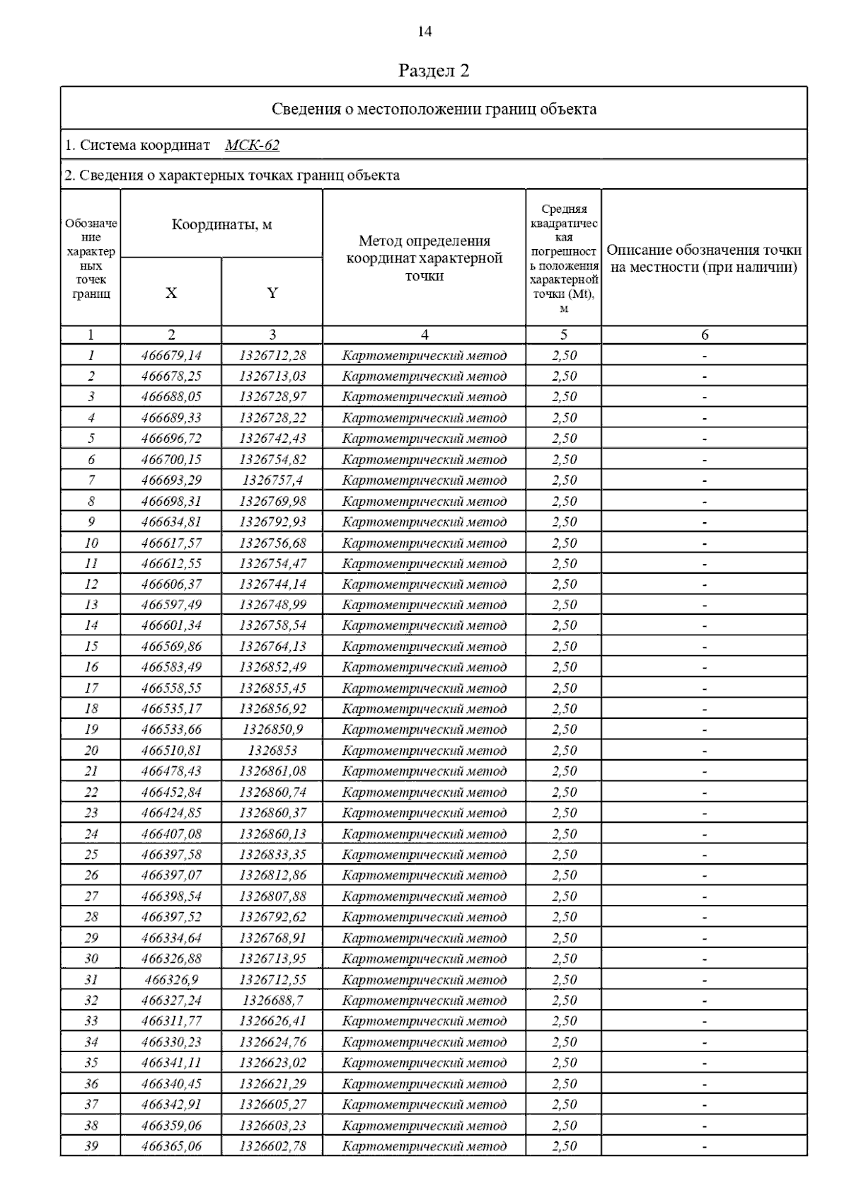
Страница №16 из 297:
Увеличить