Официальное опубликование правовых актов
ОФИЦИАЛЬНОЕ ОПУБЛИКОВАНИЕ
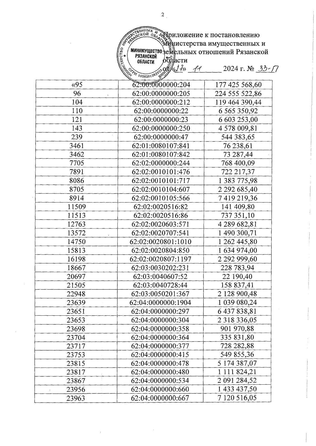
Постановление Министерства имущественных и земельных отношений Рязанской области от 27.11.2024 № 33-П
"О внесении изменений в постановление министерства имущественных и земельных отношений Рязанской области от 02.10.2023 № 28-П "Об утверждении результатов определения государственной кадастровой оценки одновременно в отношении всех учтенных в Едином государственном реестре недвижимости зданий, помещений, сооружений, объектов незавершенного строительства, машино-мест на территории Рязанской области" (в редакции постановления министерства имущественных и земельных отношений Рязанской области от 09.01.2024 № 1-П, от 01.02.2024 № 3-П, от 01.03.2024 № 5-П, 20.03.2024 № 8-П, от 03.04.2024 № 10-П, от 13.05.2024 № 14-П, от 13.06.2024 № 17-П, от 02.07.2024 № 18-П, от 02.08.2024 № 20-П, от 26.08.2024 № 23-П, от 30.09.2024 № 24-П, от 10.10.2024 № 25-П, от 12.11.2024 № 29-П, от 20.11.2024 № 30-П)"
(Зарегистрирован 27.11.2024 № 1308)
Номер опубликования: 6201202411290028
Дата опубликования: 29.11.2024
Страница №2 из 38:
Увеличить