Официальное опубликование правовых актов
ОФИЦИАЛЬНОЕ ОПУБЛИКОВАНИЕ
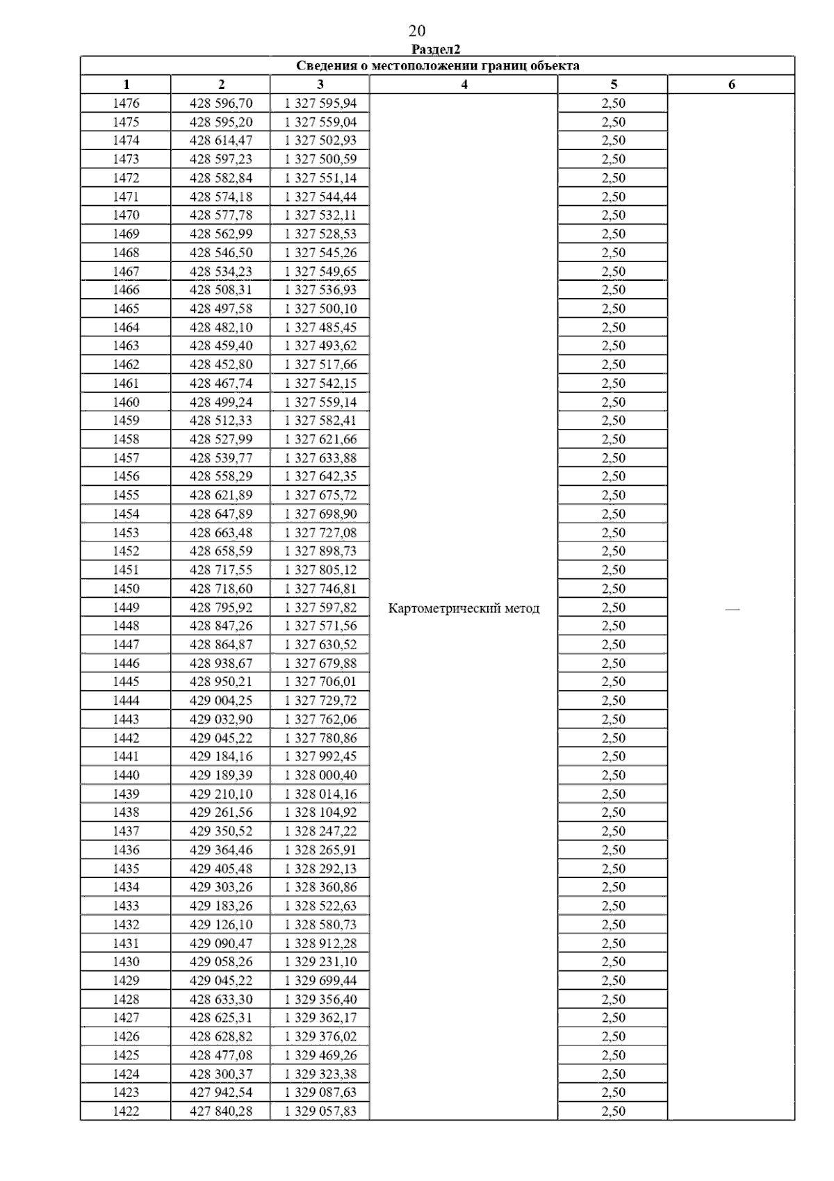
Постановление Главного управления архитектуры и градостроительства Рязанской области от 29.11.2024 № 693-п
"Об утверждении изменений в правила землепользования и застройки муниципального образования - Семеновское сельское поселение Рязанского муниципального района Рязанской области"
(Зарегистрирован 02.12.2024 № 1338)
Номер опубликования: 6201202412050009
Дата опубликования: 05.12.2024
Страница №22 из 94:
Увеличить