Официальное опубликование правовых актов
ОФИЦИАЛЬНОЕ ОПУБЛИКОВАНИЕ
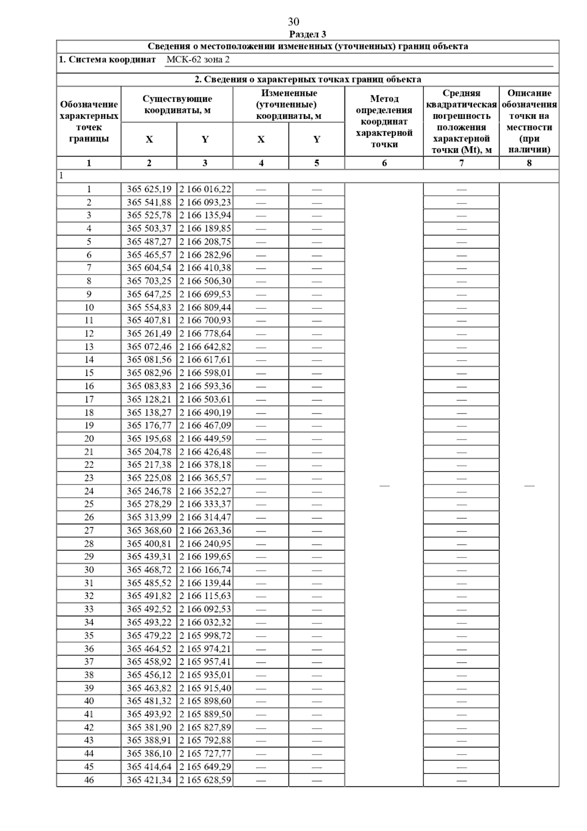
Постановление Главного управления архитектуры и градостроительства Рязанской области от 09.12.2024 № 715-п
"Об утверждении генерального плана муниципального образования – Кораблинский муниципальный округ Рязанской области применительно к территории Ключанского сельского округа Кораблинского района Рязанской области"
(Зарегистрирован 10.12.2024 № 1432)
Номер опубликования: 6201202412170001
Дата опубликования: 17.12.2024
Страница №42 из 61:
Увеличить