Официальное опубликование правовых актов
ОФИЦИАЛЬНОЕ ОПУБЛИКОВАНИЕ
Постановление Главного управления архитектуры и градостроительства Рязанской области от 10.12.2024 № 719-п
"Об утверждении изменений в правила землепользования и застройки муниципального образования - городской округ город Касимов Рязанской области"
(Зарегистрирован 10.12.2024 № 1436)
Номер опубликования: 6201202412170002
Дата опубликования: 17.12.2024
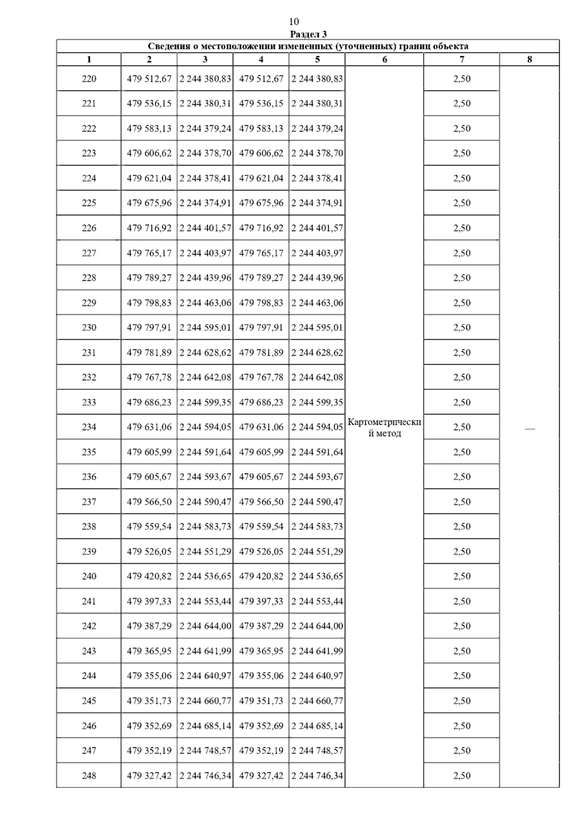
Страница №50 из 63:
Увеличить