Официальное опубликование правовых актов
ОФИЦИАЛЬНОЕ ОПУБЛИКОВАНИЕ
Постановление Главного управления архитектуры и градостроительства Рязанской области от 09.12.2024 № 718-п
"Об утверждении изменений в правила землепользования и застройки муниципального образования - Шиловское городское поселение Шиловского муниципального района Рязанской области"
(Зарегистрирован 10.12.2024 № 1435)
Номер опубликования: 6201202412170003
Дата опубликования: 17.12.2024
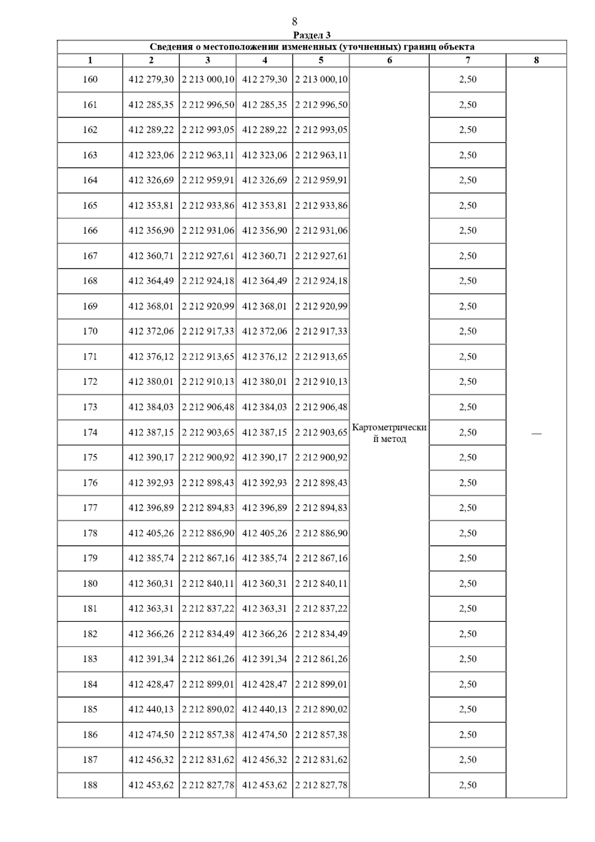
Страница №105 из 211:
Увеличить