Официальное опубликование правовых актов
ОФИЦИАЛЬНОЕ ОПУБЛИКОВАНИЕ
Постановление Главного управления архитектуры и градостроительства Рязанской области от 10.12.2024 № 720-п
"Об утверждении изменений в правила землепользования и застройки муниципального образования – Рыбновское городское поселение Рыбновского муниципального района Рязанской области"
(Зарегистрирован 10.12.2024 № 1437)
Номер опубликования: 6201202412180001
Дата опубликования: 18.12.2024
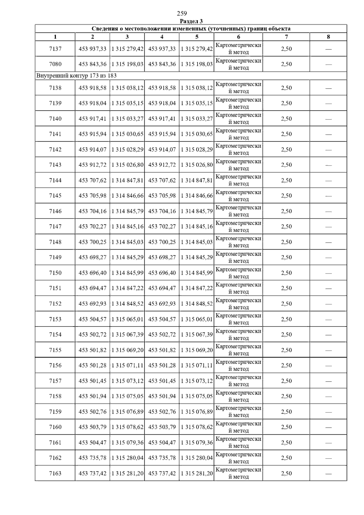
Страница №310 из 342:
Увеличить