Официальное опубликование правовых актов
ОФИЦИАЛЬНОЕ ОПУБЛИКОВАНИЕ
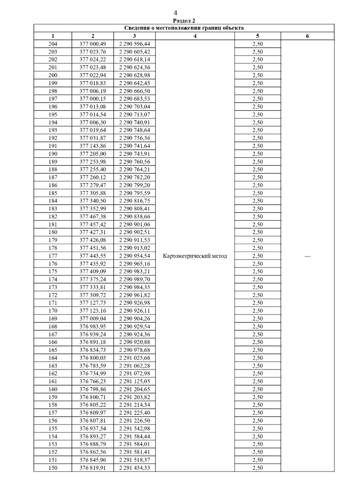
Постановление Главного управления архитектуры и градостроительства Рязанской области от 10.12.2024 № 721-п
"Об утверждении правил землепользования и застройки муниципального образования – Куплинское сельское поселение Шацкого муниципального района Рязанской области применительно к населенному пункту п. Выша"
(Зарегистрирован 10.12.2024 № 1438)
Номер опубликования: 6201202412180003
Дата опубликования: 18.12.2024
Страница №33 из 47:
Увеличить