Официальное опубликование правовых актов
ОФИЦИАЛЬНОЕ ОПУБЛИКОВАНИЕ
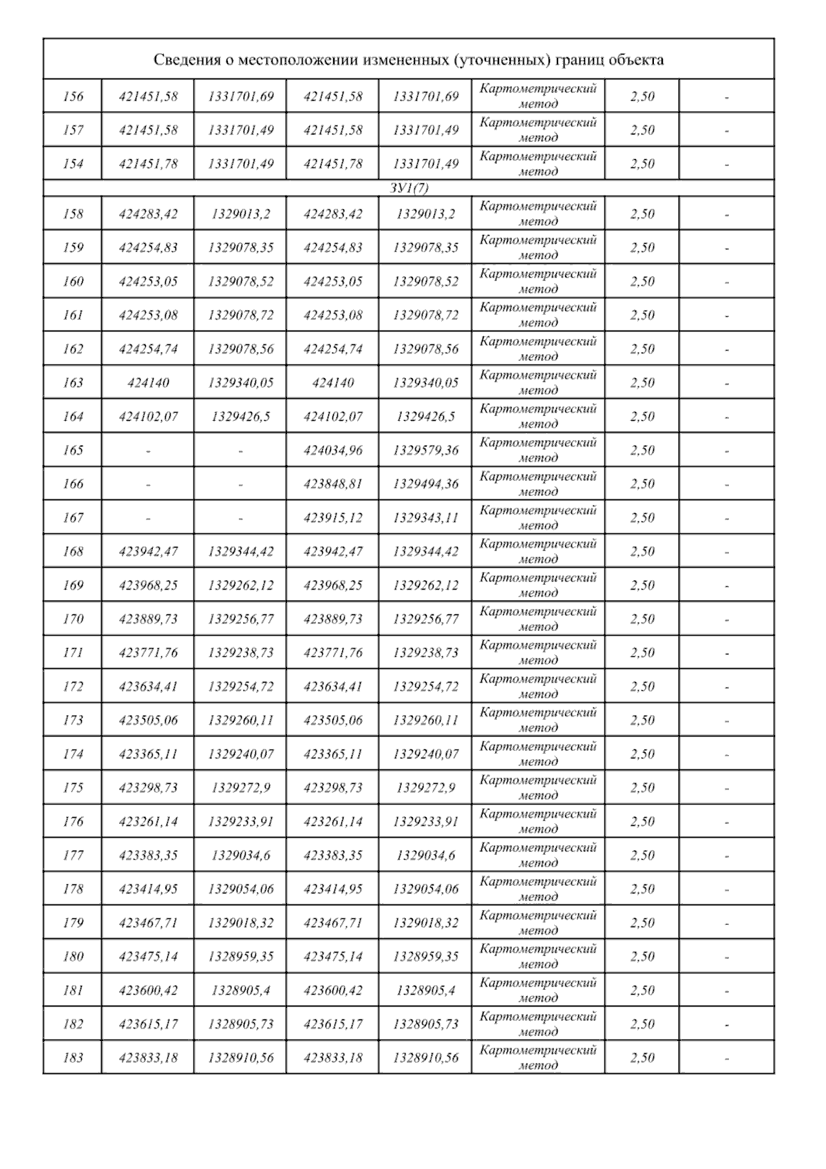
Постановление Главного управления архитектуры и градостроительства Рязанской области от 10.12.2024 № 725-п
"Об утверждении изменений в правила землепользования и застройки муниципального образования – Окское сельское поселение Рязанского муниципального района Рязанской области"
(Зарегистрирован 11.12.2024 № 1457)
Номер опубликования: 6201202412180007
Дата опубликования: 18.12.2024
Страница №11 из 13:
Увеличить