Официальное опубликование правовых актов
ОФИЦИАЛЬНОЕ ОПУБЛИКОВАНИЕ
Постановление Главного управления архитектуры и градостроительства Рязанской области от 10.12.2024 № 723-п
"Об утверждении изменений в правила землепользования и застройки муниципального образования – Ермишинское городское поселение Ермишинского муниципального района Рязанской области"
(Зарегистрирован 11.12.2024 № 1455)
Номер опубликования: 6201202412180011
Дата опубликования: 18.12.2024
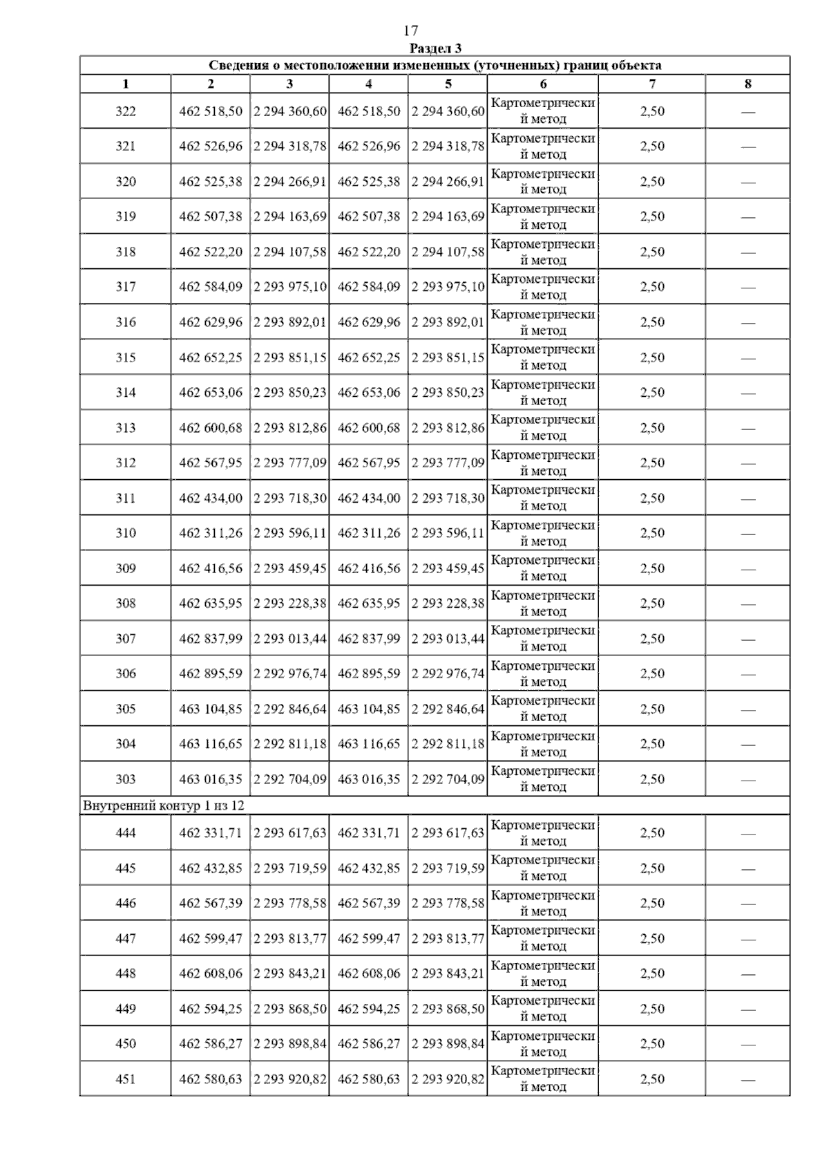
Страница №19 из 134:
Увеличить