Официальное опубликование правовых актов
ОФИЦИАЛЬНОЕ ОПУБЛИКОВАНИЕ
Постановление Главного управления архитектуры и градостроительства Рязанской области от 13.12.2024 № 731-п
"Об утверждении изменений в генеральный план муниципального образования – Заборьевское сельское поселение Рязанского муниципального района Рязанской области"
(Зарегистрирован 13.12.2024 № 1469)
Номер опубликования: 6201202412180031
Дата опубликования: 18.12.2024
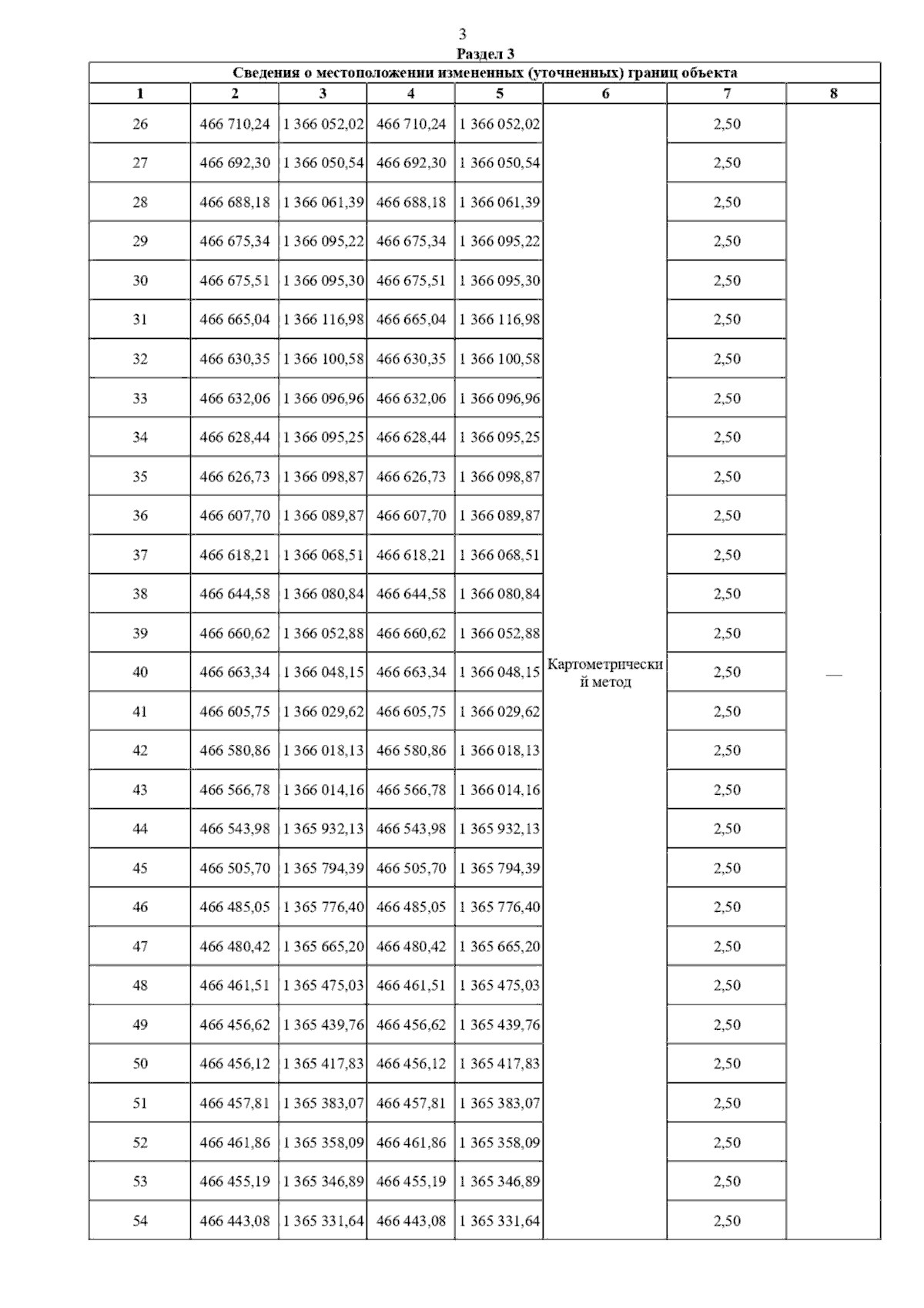
Страница №5 из 7:
Увеличить