Официальное опубликование правовых актов
ОФИЦИАЛЬНОЕ ОПУБЛИКОВАНИЕ
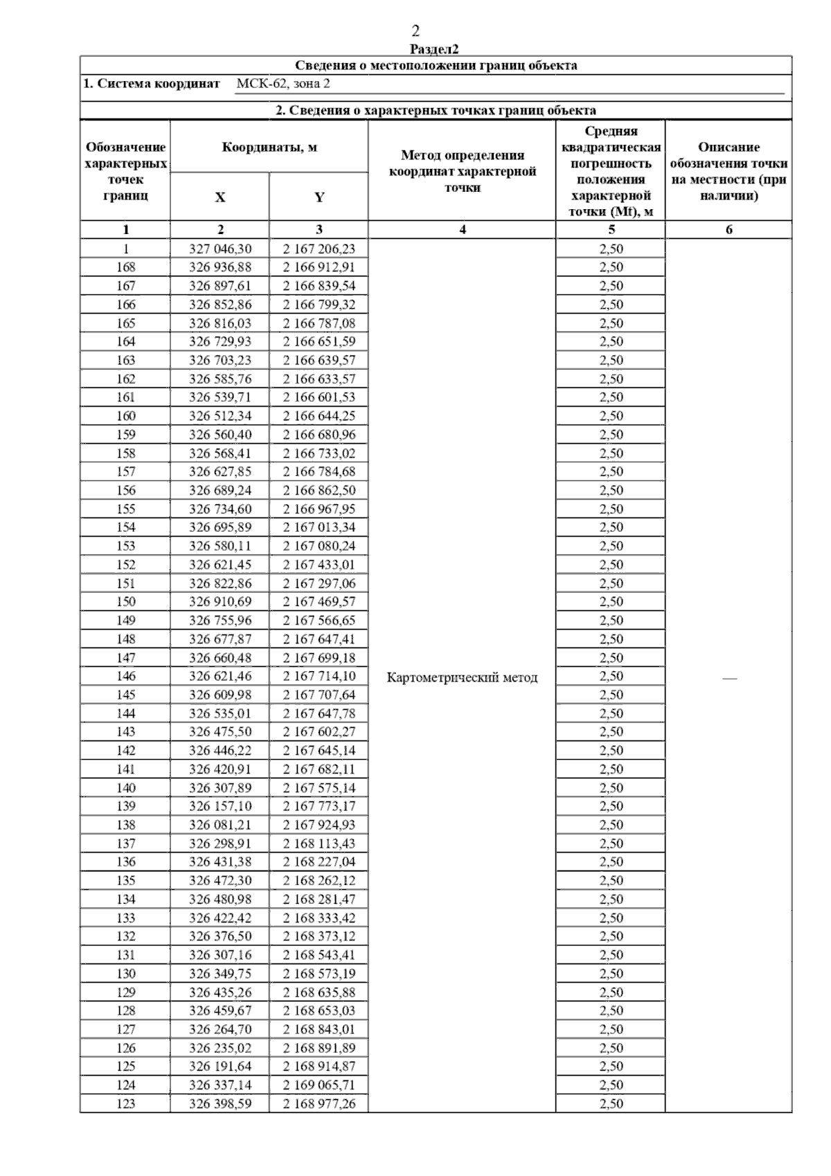
Постановление Главного управления архитектуры и градостроительства Рязанской области от 20.12.2024 № 800-п
"Об утверждении изменений в правила землепользования и застройки муниципального образования – Каширинское сельское поселение Александро-Невского муниципального района Рязанской области"
(Зарегистрирован 23.12.2024 № 1621)
Номер опубликования: 6201202412260045
Дата опубликования: 26.12.2024
Страница №4 из 63:
Увеличить